Iklan

Pertanyaan

Tentukan nilai determinan di bawah ini berdasarkan cara Sarrus-Kino.

Tentukan nilai determinan di bawah ini berdasarkan cara Sarrus-Kino.

Ikuti Tryout SNBT & Menangkan E-Wallet 100rb

Habis dalam

00

:

13

:

35

:

43

Klaim

Iklan

D. Nuryani

Master Teacher

Mahasiswa/Alumni Universitas Padjadjaran

Jawaban terverifikasi

Jawaban

determinan dari matriks di atas adalah .

determinan dari matriks di atas adalah 228.

Pembahasan

Perhatikan matriks . Determinan matriks dengan cara Sarrus-Kino dilakukan dengan aturan berikut. Pindahkan kolom pertama dan kolom ketiga masing-masing ke sebelah kanan dan kiri. Lakukan perkalian keenam diagonal, tiga ke bawah (dari kiri ke kanan) bertanda positif (+) dan tiga ke atas (dari kiri ke kanan) bertanda negatif (-), yaitu sebagai berikut Berdasarkan langkah di atas, maka: Dengan demikian, determinan dari matriks di atas adalah .

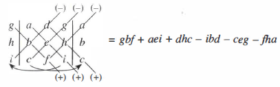
Perhatikan matriks A equals open parentheses table row a b c row d e f row g h i end table close parentheses. Determinan matriks A dengan cara Sarrus-Kino dilakukan dengan aturan berikut.

  1. Pindahkan kolom pertama dan kolom ketiga masing-masing ke sebelah kanan dan kiri.
  2. Lakukan perkalian keenam diagonal, tiga ke bawah (dari kiri ke kanan) bertanda positif (+) dan tiga ke atas (dari kiri ke kanan) bertanda negatif (-), yaitu sebagai berikut

Berdasarkan langkah di atas, maka:

table attributes columnalign right center left columnspacing 0px end attributes row blank blank cell open vertical bar table row 8 4 2 row 3 9 3 row cell negative 2 end cell 8 6 end table close vertical bar end cell row blank equals cell table row 2 row 3 row 6 end table open vertical bar table row 8 4 2 row 3 9 3 row cell negative 2 end cell 8 6 end table close vertical bar table row 8 row 3 row cell negative 2 end cell end table end cell row blank equals cell open parentheses 2 times 3 times 8 close parentheses plus open parentheses 8 times 9 times 6 close parentheses plus open parentheses 4 times 3 times open parentheses negative 2 close parentheses close parentheses end cell row blank blank cell negative open parentheses 6 times 3 times 4 close parentheses minus open parentheses negative 2 times 9 times 2 close parentheses minus open parentheses 8 times 3 times 8 close parentheses end cell row blank equals cell 48 plus 432 minus 24 minus 72 plus 36 minus 192 end cell row blank equals 228 end table

Dengan demikian, determinan dari matriks di atas adalah 228.

Perdalam pemahamanmu bersama Master Teacher
di sesi Live Teaching, GRATIS!

17

Iklan

Pertanyaan serupa

Tentukan nilai determinan di bawah ini berdasarkan cara Sarrus-Kino. pindahkan baris pertama menjadi baris keempat dan baris kedua menjadi baris kelima.

1

0.0

Jawaban terverifikasi

RUANGGURU HQ

Jl. Dr. Saharjo No.161, Manggarai Selatan, Tebet, Kota Jakarta Selatan, Daerah Khusus Ibukota Jakarta 12860

Coba GRATIS Aplikasi Roboguru

Coba GRATIS Aplikasi Ruangguru

Download di Google PlayDownload di AppstoreDownload di App Gallery

Produk Ruangguru

Hubungi Kami

Ruangguru WhatsApp

+62 815-7441-0000

Email info@ruangguru.com

[email protected]

Contact 02130930000

02130930000

Ikuti Kami

©2026 Ruangguru. All Rights Reserved PT. Ruang Raya Indonesia