Iklan

Pertanyaan

Perhatikan gambar berikut! Salah satu titik pojok dari daerah himpunan penyelesaian di atas adalah ....

Perhatikan gambar berikut!

Salah satu titik pojok dari daerah himpunan penyelesaian di atas adalah ....

  1. begin mathsize 14px style open parentheses negative 40 over 23 comma 15 over 23 close parentheses end style 

  2. open parentheses 40 over 19 comma 27 over 19 close parentheses 

  3. open parentheses negative 114 over 65 comma 8 over 13 close parentheses

  4. open parentheses 8 over 13 size 14px comma 45 over size 14px 13 close parentheses    

  5. begin mathsize 14px style open parentheses negative 40 over 19 comma 15 over 19 close parentheses end style 

Ikuti Tryout SNBT & Menangkan E-Wallet 100rb

Habis dalam

02

:

11

:

53

:

07

Klaim

Iklan

H. Nufus

Master Teacher

Mahasiswa/Alumni Universitas Negeri Surabaya

Jawaban terverifikasi

Jawaban

jawaban yang tepat adalah D.

jawaban yang tepat adalah D.

Pembahasan

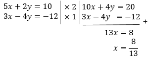
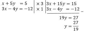
Titik pojok daerah himpunan penyelesaian di atas adalah titik potong antara dua garis. Diketahui garisnya adalah x + 5 y = 5, 5 x + 2 y = 10, 3 x - 4 y + 12 = 0 → 3 x - 4 y = -12. Kita cari titik potong antar dua garis di atas. Dari garis x + 5y = 5 dan 5x + 2y = 10 kita peroleh titik potong . Dari garis x + 5y = 5 dan 3x - 4y = -12 kita peroleh titik potong . Dari garis 5x + 2y = 10 dan 3x - 4y = -12 kita peroleh titik potong . Jadi, jawaban yang tepat adalah D.

Titik pojok daerah himpunan penyelesaian di atas adalah titik potong antara dua garis. Diketahui garisnya adalah + 5= 5, 5+ 2= 10, 34+ 12 = 0 → 34= -12. Kita cari titik potong antar dua garis di atas.

begin mathsize 14px style table attributes columnalign right center left columnspacing 0px end attributes row cell x plus 5 y end cell equals 5 row cell x plus 5 open parentheses 15 over 23 close parentheses end cell equals 5 row cell x plus 75 over 23 end cell equals 5 row x equals cell 5 minus 75 over 23 end cell row x equals cell 115 over 23 minus 75 over 23 end cell row x equals cell 40 over 23 end cell row blank blank blank end table end style

Dari garis x + 5y = 5 dan 5x + 2y = 10 kita peroleh titik potong begin mathsize 14px style open parentheses 40 over 23 comma 15 over 23 close parentheses end style.

begin mathsize 14px style table attributes columnalign right center left columnspacing 0px end attributes row cell x plus 5 y end cell equals 5 row cell x plus 5 open parentheses 27 over 19 close parentheses end cell equals 5 row cell x plus 135 over 19 end cell equals 5 row x equals cell 5 minus 135 over 19 end cell row x equals cell 95 over 19 minus 135 over 19 end cell row x equals cell negative 40 over 19 end cell end table end style

Dari garis x + 5y = 5 dan 3x - 4y = -12 kita peroleh titik potong begin mathsize 14px style open parentheses negative 40 over 19 comma 27 over 19 close parentheses end style.

   

table attributes columnalign right center left columnspacing 0px end attributes row cell size 14px 5 size 14px x size 14px plus size 14px 2 size 14px y end cell size 14px equals size 14px 10 row cell size 14px 5 open parentheses size 14px 8 over size 14px 13 close parentheses size 14px plus size 14px 2 size 14px y end cell size 14px equals size 14px 10 row cell begin inline style begin display style 40 over 13 end style end style size 14px plus size 14px 2 size 14px y end cell size 14px equals size 14px 10 row cell 2 y end cell size 14px equals cell size 14px 10 size 14px minus 40 over size 14px 13 end cell row cell 2 y end cell size 14px equals cell size 14px 130 over size 14px 13 size 14px minus 40 over size 14px 13 end cell row cell 2 y end cell size 14px equals cell 90 over size 14px 13 end cell row y size 14px equals cell 45 over 13 space end cell end table   

Dari garis 5x + 2y = 10 dan 3x - 4y = -12 kita peroleh titik potong open parentheses 8 over 13 size 14px comma 45 over size 14px 13 close parentheses.   

Jadi, jawaban yang tepat adalah D.

Perdalam pemahamanmu bersama Master Teacher
di sesi Live Teaching, GRATIS!

3

Iklan

Pertanyaan serupa

Diketahui sistem pertidaksamaan x + 3y ≤ 6, 2x + y ≤ 4, x ≥ 0, y ≥ 0. Nilai maksimum dari fungsi objektif f(x,y) = 4x - 3y adalah ....

9

3.7

Jawaban terverifikasi

RUANGGURU HQ

Jl. Dr. Saharjo No.161, Manggarai Selatan, Tebet, Kota Jakarta Selatan, Daerah Khusus Ibukota Jakarta 12860

Coba GRATIS Aplikasi Roboguru

Coba GRATIS Aplikasi Ruangguru

Download di Google PlayDownload di AppstoreDownload di App Gallery

Produk Ruangguru

Hubungi Kami

Ruangguru WhatsApp

+62 815-7441-0000

Email info@ruangguru.com

[email protected]

Contact 02130930000

02130930000

Ikuti Kami

©2026 Ruangguru. All Rights Reserved PT. Ruang Raya Indonesia