Iklan
Pertanyaan
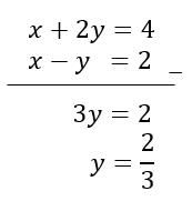
Perhatikan gambar berikut!

Salah satu titik pojok dari daerah himpunan penyelesaian di atas adalah ....
(-2, 4)
(-2, -3)
(-2, -4)
Iklan
H. Nufus
Master Teacher
Mahasiswa/Alumni Universitas Negeri Surabaya
2
0.0 (0 rating)
Iklan
RUANGGURU HQ
Jl. Dr. Saharjo No.161, Manggarai Selatan, Tebet, Kota Jakarta Selatan, Daerah Khusus Ibukota Jakarta 12860
Produk Ruangguru
Bantuan & Panduan
Hubungi Kami
©2026 Ruangguru. All Rights Reserved PT. Ruang Raya Indonesia