Iklan

Pertanyaan

Jumlah dari dua bilangan real x dan 2 y tidak lebih besar daripada 10. Jika y + 8 tidak lebih daripada 2 x , maka nilai maksimum dari 3 x + y adalah...

Jumlah dari dua bilangan real  dan  tidak lebih besar daripada 10. Jika  tidak lebih daripada , maka nilai maksimum dari  adalah ...  space space 

  1. 4  space space space 

  2. 12  space space space 

  3. 15  space space space 

  4. 18  space space space 

  5. 20  space space space 

Ikuti Tryout SNBT & Menangkan E-Wallet 100rb

Habis dalam

02

:

01

:

21

:

18

Klaim

Iklan

A. Salim

Master Teacher

Mahasiswa/Alumni Universitas Pelita Harapan

Jawaban terverifikasi

Jawaban

jawaban yang benar adalah D.

jawaban yang benar adalah D.

Pembahasan

Dari soal tersebut diketahui bahwa jumlah dari dua bilangan real dan tidak lebih besar daripada 10 dan tidak lebih daripada . Maka diperoleh pertidaksamaan: Yang ditanyakan adalah nilai maksimum dari . Maka fungsi tujuannya adalah . Pertama, kita gambarkan sistem pertidaksamaannya dan daerah himpunan penyelesaiannya dengan uji titik. Setiap persamaan garis dapat dicari dengan mencari titik potong dengan sumbu X dan sumbu Y. Berikut tabel titik potong sumbu X dan sumbu Y kedua persamaan garis tersebut. Maka grafik pertidaksamaannya adalah: Perhatikan bahwa titik pojok yang dapat diuji hanya titik A, yaitu perpotongan antara kedua garis, yaitu: Maka, didapatkan nilai fungsi tujuannya adalah: Jadi, nilai maksimum dari fungsi tujuannya adalah 18. Oleh karena itu, jawaban yang benar adalah D.

Dari soal tersebut diketahui bahwa jumlah dari dua bilangan real x dan 2 y tidak lebih besar daripada 10 dan y plus 8 tidak lebih daripada 2 x. Maka diperoleh pertidaksamaan:


open curly brackets table row cell x plus 2 y less or equal than 10 end cell row cell y plus 8 less or equal than 2 x end cell end table close


Yang ditanyakan adalah nilai maksimum dari 3 x plus y. Maka fungsi tujuannya adalah z equals 3 x plus y.

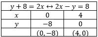
Pertama, kita gambarkan sistem pertidaksamaannya dan daerah himpunan penyelesaiannya dengan uji titik. Setiap persamaan garis dapat dicari dengan mencari titik potong dengan sumbu X dan sumbu Y. Berikut tabel titik potong sumbu X dan sumbu Y kedua persamaan garis tersebut.



Maka grafik pertidaksamaannya adalah:



Perhatikan bahwa titik pojok yang dapat diuji hanya titik A, yaitu perpotongan antara kedua garis, yaitu:


x plus 2 y equals 10 space vertical line cross times 2 vertical line space up diagonal strike 2 x end strike plus 4 y equals 20 2 x minus y equals 8 space space space vertical line cross times 1 vertical line space bottom enclose space space up diagonal strike 2 x end strike minus y equals 8 space space space minus end enclose space space space space space space space space space space space space space space space space space space space space space space space space space space space space space space space space space space space space space 5 y equals 12 space space space space space space space space space space space space space space space space space space space space space space space space space space space space space space space space space space space space space space space y equals 2 comma 4 space space space space space space space space space space space space space space space space space space space space space space space space space space space space space space space space space space space space space space space x equals 5 comma 2


Maka, didapatkan nilai fungsi tujuannya adalah:


table attributes columnalign right center left columnspacing 0px end attributes row z equals cell 3 x plus y end cell row blank equals cell 3 times 5 comma 2 plus 2 comma 4 end cell row blank equals 18 end table


Jadi, nilai maksimum dari fungsi tujuannya adalah 18.

Oleh karena itu, jawaban yang benar adalah D.

Perdalam pemahamanmu bersama Master Teacher
di sesi Live Teaching, GRATIS!

12

Iklan

Pertanyaan serupa

Sebuah pesawat mempunyai tempat duduk 48 kursi. Penumpang kelas utama boleh membawa bagasi 60 kg, sedangkan kelas ekonomi 20 kg. Harga tiket kelas utama Rp 150.000 , 00 dan kelas ekonomi Rp 100.000 , ...

8

4.0

Jawaban terverifikasi

RUANGGURU HQ

Jl. Dr. Saharjo No.161, Manggarai Selatan, Tebet, Kota Jakarta Selatan, Daerah Khusus Ibukota Jakarta 12860

Coba GRATIS Aplikasi Roboguru

Coba GRATIS Aplikasi Ruangguru

Download di Google PlayDownload di AppstoreDownload di App Gallery

Produk Ruangguru

Hubungi Kami

Ruangguru WhatsApp

+62 815-7441-0000

Email info@ruangguru.com

[email protected]

Contact 02130930000

02130930000

Ikuti Kami

©2026 Ruangguru. All Rights Reserved PT. Ruang Raya Indonesia