Iklan

Pertanyaan

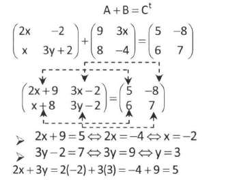
Jika matriks A = ( 2 x x ​ − 2 3 y + 2 ​ ) , B = ( 9 8 ​ 3 x − 4 ​ ) dan C = ( 5 − 8 ​ 6 7 ​ ) memenuhi A + B = C t dengan C t transpos matriks C, maka 2x + 3y = ....

Jika matriks 
transpos matriks C, maka 2x + 3y = ....

  1. 3

  2. 4

  3. 5

  4. 6

  5. 7

Ikuti Tryout SNBT & Menangkan E-Wallet 100rb

Habis dalam

01

:

09

:

56

:

22

Klaim

Iklan

N. Mustikowati

Master Teacher

Mahasiswa/Alumni Universitas Negeri Jakarta

Jawaban terverifikasi

Pembahasan

straight A equals open parentheses table row cell 2 straight x end cell cell negative 2 end cell row straight x cell 3 straight y plus 2 end cell end table close parentheses comma space straight B equals open parentheses table row 9 cell 3 straight x end cell row 8 cell negative 4 end cell end table close parentheses space dan space straight C equals open parentheses table row 5 6 row cell negative 8 end cell 7 end table close parentheses space

Perdalam pemahamanmu bersama Master Teacher
di sesi Live Teaching, GRATIS!

14

Levia Aryani

Makasih ❤️

Malicha Luthfiyana Putri

Mudah dimengerti

Silva sheyra

Pembahasan lengkap banget

Yuneldo Anggi Perdana

Makasih ❤️

Iklan

Pertanyaan serupa

Diketahui matriks A = ⎣ ⎡ ​ 2 4 6 ​ 3 0 3 ​ 7 p 5 ​ ⎦ ⎤ ​ dan matriks B = ⎣ ⎡ ​ 2 3 7 ​ 4 2 p + q 1 ​ r 3 5 ​ ⎦ ⎤ ​ . Jika A = B T , nilai p + q − r adalah ....

1

4.8

Jawaban terverifikasi

RUANGGURU HQ

Jl. Dr. Saharjo No.161, Manggarai Selatan, Tebet, Kota Jakarta Selatan, Daerah Khusus Ibukota Jakarta 12860

Coba GRATIS Aplikasi Roboguru

Coba GRATIS Aplikasi Ruangguru

Download di Google PlayDownload di AppstoreDownload di App Gallery

Produk Ruangguru

Hubungi Kami

Ruangguru WhatsApp

+62 815-7441-0000

Email info@ruangguru.com

[email protected]

Contact 02130930000

02130930000

Ikuti Kami

©2026 Ruangguru. All Rights Reserved PT. Ruang Raya Indonesia