Iklan

Pertanyaan

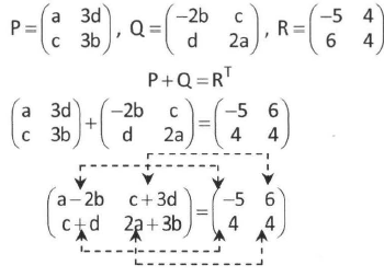
Diketahui matriks P = ( a c ​ 3 d 3 b ​ ) , Q = ( − 2 b d ​ c 2 a ​ ) , dan R = ( − 5 6 ​ 4 4 ​ ) . Jika P + Q = R T di mana R T adalah transpos matriks R, maka nilai dari a+b+c+d=···

Diketahui matriks adalah transpos matriks
R, maka nilai dari a+b+c+d=···

  1. 6

  2. 5

  3. 3

  4. 2

  5. 1

Ikuti Tryout SNBT & Menangkan E-Wallet 100rb

Habis dalam

02

:

13

:

13

:

59

Klaim

Iklan

N. Mustikowati

Master Teacher

Mahasiswa/Alumni Universitas Negeri Jakarta

Jawaban terverifikasi

Pembahasan


asterisk times space Lakukan space eliminasi space untuk space memperoleh space nilai space straight a space dan space straight b.  table row cell space space space straight a space minus space 2 straight b space equals negative 5 end cell row cell 2 straight a space plus space 3 straight b space equals space 4 end cell end table open vertical bar table row cell straight x 2 end cell row cell straight x 1 end cell end table close vertical bar table row cell 2 straight a space minus space 4 straight b space equals 10 end cell row cell fraction numerator 2 straight a plus 3 straight b space equals space 4 over denominator negative 7 straight b equals 14 space end fraction minus end cell end table  space space left right double arrow straight b equals 2  space space space straight a minus 4 equals negative 5 left right double arrow straight a equals negative 1    asterisk times Lakukan space eliminasi space untuk space memperoleh space nilai space straight c space dan space straight d.  space table row cell straight c plus 3 straight d equals 6 end cell row cell fraction numerator straight c plus straight d space equals space 4 over denominator 2 straight d equals 2 end fraction end cell end table  space space straight d equals 1 comma  space space space straight c plus 1 equals 4 left right double arrow straight c equals 3  asterisk times space straight a plus straight b plus straight c plus straight d equals space minus 1 plus 2 plus 3 plus 1 equals 5

Perdalam pemahamanmu bersama Master Teacher
di sesi Live Teaching, GRATIS!

2

Iklan

Pertanyaan serupa

Diketahui matriks A = ⎣ ⎡ ​ 2 4 6 ​ 3 0 3 ​ 7 p 5 ​ ⎦ ⎤ ​ dan matriks B = ⎣ ⎡ ​ 2 3 7 ​ 4 2 p + q 1 ​ r 3 5 ​ ⎦ ⎤ ​ . Jika A = B T , nilai p + q − r adalah ....

3

4.8

Jawaban terverifikasi

RUANGGURU HQ

Jl. Dr. Saharjo No.161, Manggarai Selatan, Tebet, Kota Jakarta Selatan, Daerah Khusus Ibukota Jakarta 12860

Coba GRATIS Aplikasi Roboguru

Coba GRATIS Aplikasi Ruangguru

Download di Google PlayDownload di AppstoreDownload di App Gallery

Produk Ruangguru

Hubungi Kami

Ruangguru WhatsApp

+62 815-7441-0000

Email info@ruangguru.com

[email protected]

Contact 02130930000

02130930000

Ikuti Kami

©2025 Ruangguru. All Rights Reserved PT. Ruang Raya Indonesia