Iklan
Pertanyaan
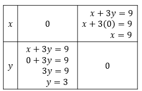
Ibu ingin membuat dua jenis kue A dan B. Kue A membutuhkan gula pasir sebanyak 1 kg dan kue B membutuhkan gula pasir sebanyak 3 kg. Ibu hanya membeli gula pasir sebanyak 9 kg. Daerah penyelesaian pertidaksamaan yang menggambarkan kondisi di atas adalah ....





Iklan
H. Nufus
Master Teacher
Mahasiswa/Alumni Universitas Negeri Surabaya
1
0.0 (0 rating)
Iklan
RUANGGURU HQ
Jl. Dr. Saharjo No.161, Manggarai Selatan, Tebet, Kota Jakarta Selatan, Daerah Khusus Ibukota Jakarta 12860
Produk Ruangguru
Bantuan & Panduan
Hubungi Kami
©2026 Ruangguru. All Rights Reserved PT. Ruang Raya Indonesia