Iklan

Pertanyaan

Himpunan penyelesaian persamaan sin 2 x = sin 3 x + sin x , untuk 0 < x < 2 π adalah ….

Himpunan penyelesaian persamaan  , untuk  adalah ….

  1. begin mathsize 14px style open curly brackets straight pi over 3 comma straight pi over 2 comma straight pi comma fraction numerator 3 straight pi over denominator 2 end fraction comma fraction numerator 5 straight pi over denominator 3 end fraction comma straight 2 straight pi close curly brackets end style 

  2. begin mathsize 14px style open curly brackets straight pi over 3 comma fraction numerator 5 straight pi over denominator 3 end fraction comma straight 2 straight pi close curly brackets end style 

  3. begin mathsize 14px style open curly brackets 0 comma straight pi over 2 comma straight pi comma fraction numerator 5 straight pi over denominator 3 end fraction comma straight 2 straight pi close curly brackets end style 

  4. begin mathsize 14px style open curly brackets straight pi over 3 comma straight pi over 2 comma fraction numerator 3 straight pi over denominator 2 end fraction comma fraction numerator 5 straight pi over denominator 3 end fraction comma straight pi close curly brackets end style 

  5. begin mathsize 14px style open curly brackets 0 comma straight pi over 2 comma straight pi over 3 comma fraction numerator 5 straight pi over denominator 3 end fraction comma straight straight pi close curly brackets end style 

Ikuti Tryout SNBT & Menangkan E-Wallet 100rb

Habis dalam

02

:

19

:

31

:

49

Klaim

Iklan

A. Acfreelance

Master Teacher

Jawaban terverifikasi

Jawaban

jawaban yang tepat adalah D.

jawaban yang tepat adalah D.

Pembahasan

Gunakan rumus penjumlahan sin berikut ini : Maka, Karena interval yang diminta pada soal maka, Untuk Untuk Jadi himpunan penyelesaian persamaan tersebut adalah . Dengan demikian, jawaban yang tepat adalah D.

Gunakan rumus penjumlahan sin berikut ini :

begin mathsize 14px style sin space straight A plus sin space straight B equals 2 sin space open parentheses fraction numerator straight A plus straight B over denominator 2 end fraction close parentheses space cos space open parentheses fraction numerator straight A minus straight B over denominator 2 end fraction close parentheses end style 

Maka,

begin mathsize 14px style sin space 2 straight x equals sin space 3 straight x plus sin space straight x sin space 2 straight x equals 2 space sin space open parentheses fraction numerator 3 straight x plus straight x over denominator 2 end fraction close parentheses space cos space open parentheses fraction numerator 3 straight x minus straight x over denominator 2 end fraction close parentheses sin space 2 straight x equals 2 space sin space 2 straight x space cos space straight x 0 equals 2 space sin space 2 straight x space cos space straight x minus sin space 2 straight x 0 equals sin space 2 straight x space open parentheses 2 space cos space straight x minus 1 close parentheses 0 equals sin space 2 straight x space atau straight 2 space cos space straight x minus 1 equals 0 end style 

Karena interval yang diminta pada soal begin mathsize 14px style 0 less or equal than straight x less or equal than 2 straight pi end style maka, 

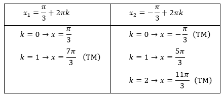
Untuk begin mathsize 14px style 2 space cos space straight x minus 1 equals 0 end style 

Error converting from MathML to accessible text. 

 

Untuk begin mathsize 14px style sin space 2 straight x equals 0 end style 

begin mathsize 14px style sin space 2 straight x equals sin space 0 2 straight x subscript 1 equals 0 plus 2 πk    dan straight 2 straight x subscript 2 equals open parentheses straight pi minus 0 close parentheses plus 2 πk end style 

Jadi himpunan penyelesaian persamaan tersebut adalah undefined.

Dengan demikian, jawaban yang tepat adalah D.

Perdalam pemahamanmu bersama Master Teacher
di sesi Live Teaching, GRATIS!

2

Iklan

Pertanyaan serupa

Himpunan nilai x yang memenuhi cos ( 2 x + 7 5 ∘ ) = − 2 1 ​ 2 ​ dengan 0 ∘ < x < 36 0 ∘ adalah ....

1

2.0

Jawaban terverifikasi

RUANGGURU HQ

Jl. Dr. Saharjo No.161, Manggarai Selatan, Tebet, Kota Jakarta Selatan, Daerah Khusus Ibukota Jakarta 12860

Coba GRATIS Aplikasi Roboguru

Coba GRATIS Aplikasi Ruangguru

Download di Google PlayDownload di AppstoreDownload di App Gallery

Produk Ruangguru

Hubungi Kami

Ruangguru WhatsApp

+62 815-7441-0000

Email info@ruangguru.com

[email protected]

Contact 02130930000

02130930000

Ikuti Kami

©2026 Ruangguru. All Rights Reserved PT. Ruang Raya Indonesia