Iklan

Pertanyaan

Diketahui matriks P = ( − 2 1 ​ 3 5 ​ ) , Q = ( 4 2 ​ − 6 1 ​ ) , R = ( n 1 ​ − 3 − 5 ​ ) , dan S = ( m 2 n ​ 3 4 ​ ) . Jika PQ = R + S T dimana S T adalah transpos matriks S, maka nilai m adalah ....

Diketahui matriks 

 adalah transpos matriks S, maka nilai m adalah ....

  1. 11

  2. 9

  3. -9

  4. - 11

  5. - 20

Ikuti Tryout SNBT & Menangkan E-Wallet 100rb

Habis dalam

02

:

00

:

57

:

51

Klaim

Iklan

N. Mustikowati

Master Teacher

Mahasiswa/Alumni Universitas Negeri Jakarta

Jawaban terverifikasi

Pembahasan

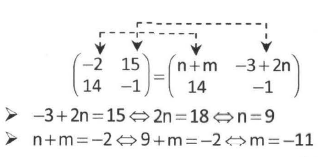
begin mathsize 14px style straight P equals open parentheses table row cell negative 2 end cell 3 row 1 5 end table close parentheses comma space straight Q equals open parentheses table row 4 cell negative 6 end cell row 2 1 end table close parentheses comma space straight R equals open parentheses table row straight n cell negative 3 end cell row 1 cell negative 5 end cell end table close parentheses comma space straight S equals open parentheses table row straight m 3 row cell 2 straight n end cell 4 end table close parentheses. end style

PQ space equals space straight R space plus space straight S to the power of straight T  open parentheses table row cell negative 2 end cell 3 row 1 5 end table close parentheses open parentheses table row 4 cell negative 6 end cell row 2 1 end table close parentheses equals open parentheses table row straight n cell negative 3 end cell row 1 cell negative 5 end cell end table close parentheses plus open parentheses table row straight m cell 2 straight n end cell row 3 4 end table close parentheses  open parentheses table row cell negative 8 plus 6 end cell cell 12 plus 3 end cell row cell 4 plus 10 end cell cell negative 6 plus 5 end cell end table close parentheses equals open parentheses table row cell straight n plus straight m end cell cell negative 3 plus 2 straight n end cell row 14 cell negative 1 end cell end table close parentheses

Perdalam pemahamanmu bersama Master Teacher
di sesi Live Teaching, GRATIS!

1

Iklan

Pertanyaan serupa

Diketahui matriks A = ⎝ ⎛ ​ 3 − 2 1 ​ 4 5 2 ​ ⎠ ⎞ ​ , B = ⎝ ⎛ ​ − 1 − 6 7 ​ 2 − 2 3 ​ ⎠ ⎞ ​ , dan C = ( m − 2 n 4 ​ − 20 m + n ​ ) . Jika dimana adalah transpos matriks adalah transpos matriks C. Nil...

1

0.0

Jawaban terverifikasi

RUANGGURU HQ

Jl. Dr. Saharjo No.161, Manggarai Selatan, Tebet, Kota Jakarta Selatan, Daerah Khusus Ibukota Jakarta 12860

Coba GRATIS Aplikasi Roboguru

Coba GRATIS Aplikasi Ruangguru

Download di Google PlayDownload di AppstoreDownload di App Gallery

Produk Ruangguru

Hubungi Kami

Ruangguru WhatsApp

+62 815-7441-0000

Email info@ruangguru.com

[email protected]

Contact 02130930000

02130930000

Ikuti Kami

©2026 Ruangguru. All Rights Reserved PT. Ruang Raya Indonesia