Iklan
Pertanyaan
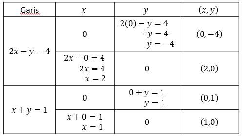
Di antara pilihan jawaban berikut ini, yang menggambarkan daerah penyelesaian dari 2x - y ≤ 4, x + y ≥ 1, x ≥ 0, y ≥ 0 adalah .... (daerah berwarna oranye menunjukkan daerah penyelesaian).





Iklan
H. Nufus
Master Teacher
Mahasiswa/Alumni Universitas Negeri Surabaya
3
4.0 (2 rating)
Iklan
RUANGGURU HQ
Jl. Dr. Saharjo No.161, Manggarai Selatan, Tebet, Kota Jakarta Selatan, Daerah Khusus Ibukota Jakarta 12860
Produk Ruangguru
Bantuan & Panduan
Hubungi Kami
©2026 Ruangguru. All Rights Reserved PT. Ruang Raya Indonesia