Iklan

Pertanyaan

Berapakah KPK dari 9 dan 27 ?

Berapakah KPK dari ?

Ikuti Tryout SNBT & Menangkan E-Wallet 100rb

Habis dalam

02

:

09

:

06

:

48

Klaim

Iklan

D. Rajib

Master Teacher

Mahasiswa/Alumni Universitas Muhammadiyah Malang

Jawaban terverifikasi

Jawaban

KPK dari 9 dan 27 adalah 27 .

KPK dari  adalah .

Pembahasan

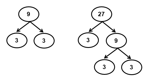
Cara menentukan KPK dengan faktorisasi prima Tentukan faktorisasi prima menggunakan pohon faktor KPK diperoleh dari perkalian semua faktor prima, jika terdapat faktor prima yang sama maka pilihlah faktor prima dengan pangkat yang paling besar Diketahui bilangan 9 dan 27 . Pohon faktor dari 9 dan 27 adalah sebagai berikut Diperoleh faktorisasi prima 9 27 ​ = = ​ 3 2 3 3 ​ Maka KPK dari 9 dan 27 KPKdari 9 dan 27 ​ = = ​ 3 3 27 ​ Dengan demikian, KPK dari 9 dan 27 adalah 27 .

Cara menentukan KPK dengan faktorisasi prima

  • Tentukan faktorisasi prima menggunakan pohon faktor
  • KPK diperoleh dari perkalian semua faktor prima, jika terdapat faktor prima yang sama maka pilihlah faktor prima dengan pangkat yang paling besar

Diketahui bilangan . Pohon faktor dari  adalah sebagai berikut

Diperoleh faktorisasi prima

Maka KPK dari 

Dengan demikian, KPK dari  adalah .

Perdalam pemahamanmu bersama Master Teacher
di sesi Live Teaching, GRATIS!

3

Iklan

Pertanyaan serupa

Tentukan KPK dan FPB dari bilangan-bilangan berikut. a. 30, 68, dan 100

1

5.0

Jawaban terverifikasi

RUANGGURU HQ

Jl. Dr. Saharjo No.161, Manggarai Selatan, Tebet, Kota Jakarta Selatan, Daerah Khusus Ibukota Jakarta 12860

Coba GRATIS Aplikasi Roboguru

Coba GRATIS Aplikasi Ruangguru

Download di Google PlayDownload di AppstoreDownload di App Gallery

Produk Ruangguru

Hubungi Kami

Ruangguru WhatsApp

+62 815-7441-0000

Email info@ruangguru.com

[email protected]

Contact 02130930000

02130930000

Ikuti Kami

©2025 Ruangguru. All Rights Reserved PT. Ruang Raya Indonesia