Iklan

Pertanyaan

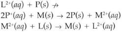
Tiga logam, L, M, dan P, dapat membentuk ion-ion P + , M 2 + , dan L 2 + . Diketahui dari data eksperimen: Urutan ketiga logam di atas sesuai dengan kenaikan potensial elektrode adalah ....

Tiga logam, L, M, dan P, dapat membentuk ion-ion , , dan . Diketahui dari data eksperimen:
 


 

Urutan ketiga logam di atas sesuai dengan kenaikan potensial elektrode adalah ....space

  1. P, L, Mspace

  2. M, L, Pspace

  3. P, M, Lspace

  4. L, M, Pspace

  5. M, P, Lspace

Ikuti Tryout SNBT & Menangkan E-Wallet 100rb

Habis dalam

00

:

02

:

16

:

45

Klaim

Iklan

M. Rani

Master Teacher

Mahasiswa/Alumni Universitas Brawijaya

Jawaban terverifikasi

Jawaban

jawaban yang benar adalah D.

jawaban yang benar adalah D.

Pembahasan

Reaksi spontan adalah reaksi yang langsung bereaksi dengan nilai yang positif dan menghasilkan sejumlah arus listrik. Reaksi spontan ini hanya terjadi jika: Logam kiri + ion Logam kanan, jika diurutkan berdasarkan konsep reaksi spontan maka urutan dari ketiga logam tersebut dalam deret volta dari kiri kekanan adalah L, M, P. Dengan demikian urutan dari ketiga logam tersebut adalah L, M, P. Oleh karena itu, jawaban yang benar adalah D.

Reaksi spontan adalah reaksi yang langsung bereaksi dengan nilai yang positif dan menghasilkan sejumlah arus listrik. Reaksi spontan ini hanya terjadi jika: Logam kiri + ion Logam kanan, jika diurutkan berdasarkan konsep reaksi spontan maka urutan dari ketiga logam tersebut dalam deret volta dari kiri kekanan adalah L, M, P. Dengan demikian urutan dari ketiga logam tersebut adalah L, M, P.space

Oleh karena itu, jawaban yang benar adalah D.

Perdalam pemahamanmu bersama Master Teacher
di sesi Live Teaching, GRATIS!

18

Iklan

Pertanyaan serupa

Dengan hanya melihat deret besarya E°tanpa menghitung perkirakan apakahtiap reaksi redoks berikut dapat berlangsung spontan. Jika reaksi berlangsung spontan sebagaimana yang tertulis, buatlah diagram ...

8

4.7

Jawaban terverifikasi

RUANGGURU HQ

Jl. Dr. Saharjo No.161, Manggarai Selatan, Tebet, Kota Jakarta Selatan, Daerah Khusus Ibukota Jakarta 12860

Coba GRATIS Aplikasi Roboguru

Coba GRATIS Aplikasi Ruangguru

Download di Google PlayDownload di AppstoreDownload di App Gallery

Produk Ruangguru

Hubungi Kami

Ruangguru WhatsApp

+62 815-7441-0000

Email info@ruangguru.com

[email protected]

Contact 02130930000

02130930000

Ikuti Kami

©2025 Ruangguru. All Rights Reserved PT. Ruang Raya Indonesia