Iklan

Pertanyaan

Sisa pembagian p(x) = x 3 + ax 2 + 4bx – 1 oleh x 2 + 1 adalah –5a + 4b. Jika p(x) dibagi x + 1 bersisa –a – 2, maka 8ab = ....

Sisa pembagian p(x) = x3 + ax2 + 4bx – 1 oleh x2 + 1 adalah –5a + 4b. Jika p(x) dibagi x + 1 bersisa –a – 2, maka 8ab = ....

  1. begin mathsize 14px style negative 3 over 4 end style 

  2. begin mathsize 14px style negative 1 half end style 

  3. begin mathsize 14px style 0 end style 

  4. begin mathsize 14px style 1 end style 

  5. begin mathsize 14px style 3 end style 

Ikuti Tryout SNBT & Menangkan E-Wallet 100rb

Habis dalam

02

:

20

:

11

:

46

Klaim

Iklan

S. Rahmi

Master Teacher

Jawaban terverifikasi

Jawaban

jawaban yang tepat adalah D.

jawaban yang tepat adalah D.

Pembahasan

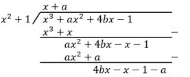
Dengan cara pembagian biasa, didapatkan pembagian p(x) = x 3 + ax 2 + 4bx – 1 oleh x 2 + 1 adalah sebagai berikut Dari pembagian tersebut, didapat sisanya adalah 4bx – x – 1 – a = (4b – 1)x + (–1 – a) Karena pada soal diketahui sisanya adalah –5a + 4b, maka : 4b – 1 = 0 –1 –a = –5a + 4b Dari persamaan pertama, didapat : dan dari persamaan kedua, didapat Dengan demikian, Jadi, jawaban yang tepat adalah D.

Dengan cara pembagian biasa, didapatkan pembagian p(x) = x3 + ax2 + 4bx – 1 oleh x2 + 1 adalah sebagai berikut

 

Dari pembagian tersebut, didapat sisanya adalah

4bx – x – 1 – a = (4b – 1)x + (–1 – a)

Karena pada soal diketahui sisanya adalah –5a + 4b, maka :

4b – 1 = 0

–1 – a = –5a + 4b

Dari persamaan pertama, didapat :

begin mathsize 14px style table attributes columnalign right center left columnspacing 0px end attributes row cell 4 straight b minus 1 end cell equals cell 0 space end cell row cell 4 straight b end cell equals cell 1 space end cell row straight b equals cell 1 fourth end cell end table end style 

dan dari persamaan kedua, didapat 

begin mathsize 14px style table attributes columnalign right center left columnspacing 0px end attributes row cell negative 1 minus straight a end cell equals cell negative 5 straight a plus 4 straight b space end cell row cell negative 1 minus straight a end cell equals cell negative 5 straight a plus 4 open parentheses 1 fourth close parentheses end cell row cell negative 1 minus straight a end cell equals cell negative 5 straight a plus 1 space end cell row cell 5 straight a minus straight a end cell equals cell 1 plus 1 space end cell row cell 4 straight a end cell equals cell 2 space end cell row straight a equals cell 1 half end cell end table end style 

Dengan demikian,

begin mathsize 14px style 8 ab equals 8 open parentheses 1 half close parentheses open parentheses 1 fourth close parentheses equals 1 end style 

Jadi, jawaban yang tepat adalah D.

Perdalam pemahamanmu bersama Master Teacher
di sesi Live Teaching, GRATIS!

2

Iklan

Pertanyaan serupa

Jika diketahui sisa pembagian xf(x) oleh (x 2 + 4x – 12) adalah ax + b, sisa pembagian (x – 1)g(x) oleh (x 2 + x – 6) adalah x + 3, dan sisa pembagian f(x)g(x) oleh (x 2 – 8x + 12) adalah 7x – 13, mak...

4

5.0

Jawaban terverifikasi

RUANGGURU HQ

Jl. Dr. Saharjo No.161, Manggarai Selatan, Tebet, Kota Jakarta Selatan, Daerah Khusus Ibukota Jakarta 12860

Coba GRATIS Aplikasi Roboguru

Coba GRATIS Aplikasi Ruangguru

Download di Google PlayDownload di AppstoreDownload di App Gallery

Produk Ruangguru

Hubungi Kami

Ruangguru WhatsApp

+62 815-7441-0000

Email info@ruangguru.com

[email protected]

Contact 02130930000

02130930000

Ikuti Kami

©2025 Ruangguru. All Rights Reserved PT. Ruang Raya Indonesia