Iklan

Pertanyaan

Sisa pembagian p(x) = x³ + ax² + 4x + 5b + 1 oleh x² + 4 adalah a + 1. Jika p(x) dibagi x + 1 bersisa –22, maka a – 2b = ....

Sisa pembagian p(x) = x³ + ax² + 4x + 5b + 1 oleh x² + 4 adalah a + 1. Jika p(x) dibagi x + 1 bersisa –22, maka a – 2b = ....

  1. 1

  2. 2

  3. 3

  4. 4

  5. 5

Ikuti Tryout SNBT & Menangkan E-Wallet 100rb

Habis dalam

02

:

06

:

06

:

37

Klaim

Iklan

A. Acfreelance

Master Teacher

Jawaban terverifikasi

Jawaban

jawaban yang tepat adalah C.

jawaban yang tepat adalah C.

Pembahasan

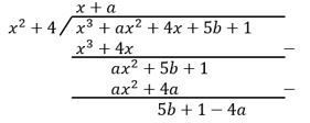
Dengan cara pembagian biasa, didapatkan pembagian p(x) = x³ + ax² + 4x + 5b + 1 oleh x² + 4 adalah sebagai berikut. Dari pembagian tersebut, didapat sisanya adalah 5b + 1 – 4a. Karena pada soal diketahui sisanya adalah a + 1, maka : Kemudian p(x) dibagi x + 1 bersisa –22, maka : Karena b = a, maka Sehingga Maka Jadi, jawaban yang tepat adalah C.

Dengan cara pembagian biasa, didapatkan pembagian p(x) = x³ + ax² + 4x + 5b + 1 oleh x² + 4 adalah sebagai berikut.

 

Dari pembagian tersebut, didapat sisanya adalah 5b + 1 – 4a.
Karena pada soal diketahui sisanya adalah a + 1, maka :

begin mathsize 14px style table attributes columnalign right center left columnspacing 0px end attributes row cell 5 straight b plus 1 minus 4 straight a end cell equals cell straight a plus 1 end cell row cell 5 straight b end cell equals cell 5 straight a end cell row straight b equals straight a end table end style 

Kemudian p(x) dibagi x + 1 bersisa –22, maka :

begin mathsize 14px style table attributes columnalign right center left columnspacing 0px end attributes row cell straight p open parentheses negative 1 close parentheses end cell equals cell negative 22 end cell row cell open parentheses negative 1 close parentheses cubed plus straight a open parentheses negative 1 close parentheses squared plus 4 open parentheses negative 1 close parentheses plus 5 straight b plus 1 end cell equals cell negative 22 end cell row cell negative 1 plus straight a open parentheses 1 close parentheses minus 4 plus 5 straight b plus 1 end cell equals cell negative 22 end cell row cell straight a plus 5 straight b minus 4 end cell equals cell negative 22 end cell end table end style 

Karena b = a, maka

begin mathsize 14px style table attributes columnalign right center left columnspacing 0px end attributes row cell straight a plus 5 straight a minus 4 end cell equals cell negative 22 end cell row cell 6 straight a end cell equals cell negative 18 end cell row straight a equals cell negative 3 end cell end table end style 

Sehingga

begin mathsize 14px style straight b equals straight a equals negative 3 end style 

Maka

begin mathsize 14px style table attributes columnalign right center left columnspacing 0px end attributes row cell straight a minus 2 straight b end cell equals cell negative 3 minus 2 open parentheses negative 3 close parentheses end cell row blank equals cell negative 3 plus 6 end cell row blank equals 3 end table end style 

Jadi, jawaban yang tepat adalah C.

Perdalam pemahamanmu bersama Master Teacher
di sesi Live Teaching, GRATIS!

10

Iklan

Pertanyaan serupa

Diketahui suku banyak f( x) dibagi x 2 − 4 mempunyai sisa ax + a dan suku banyak g ( x) dibagi x 2 − 9 mempunyai sisa ax + a - 5 . Jika sisa pembagian f( x) oleh x + 2 sama nilainya dengan sisa pembag...

20

3.5

Jawaban terverifikasi

RUANGGURU HQ

Jl. Dr. Saharjo No.161, Manggarai Selatan, Tebet, Kota Jakarta Selatan, Daerah Khusus Ibukota Jakarta 12860

Coba GRATIS Aplikasi Roboguru

Coba GRATIS Aplikasi Ruangguru

Download di Google PlayDownload di AppstoreDownload di App Gallery

Produk Ruangguru

Hubungi Kami

Ruangguru WhatsApp

+62 815-7441-0000

Email info@ruangguru.com

[email protected]

Contact 02130930000

02130930000

Ikuti Kami

©2026 Ruangguru. All Rights Reserved PT. Ruang Raya Indonesia