Iklan

Pertanyaan

Sisa pembagian p ( x ) = x 3 + a x 2 + 4 b x − 1 oleh x 2 + 1 adalah –5a + 4b. Jika, p(x) dibagi x + 1 bersisa –a – 2. maka 8ab = ....

Sisa pembagian oleh   adalah –5a + 4b. Jika, p(x) dibagi  x + 1 bersisa –a – 2. maka 8ab = ....

  1. negative 3 over 4

  2. negative 1 half

  3. 0

  4. 1

  5. 3

Ikuti Tryout SNBT & Menangkan E-Wallet 100rb

Habis dalam

01

:

12

:

48

:

37

Klaim

Iklan

D. Kamilia

Master Teacher

Mahasiswa/Alumni Universitas Negeri Malang

Jawaban terverifikasi

Pembahasan

i) Hitung sisa pembagianp(x)oleh Didapatkan sisa pembagian (4b – 1)x – (1 + a) ii) Bandingkan sisa pembagian Dari penghitungan didapatkan sisa (4b – 1)x – (1 + a). Dari soal didapatkan sisa –5a + 4b iii) Hitung 8ab iv) Catatan tambahan Informasi kedua, yaitu p(x)dibagi (x + 1)bersisa –a – 2ternyata tidak begitu diperlukan.

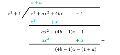
i)     Hitung sisa pembagian p(x) oleh x squared plus 1

Didapatkan sisa pembagian (4b – 1)x – (1 + a)

ii)    Bandingkan sisa pembagian

Dari penghitungan didapatkan sisa (4b – 1)x – (1 + a).

Dari soal didapatkan sisa –5a + 4b

maka  open parentheses 4 b minus 1 close parentheses x minus open parentheses 1 plus a close parentheses space equals space minus 5 a plus 4 b  sehingga  4 b minus 1 space equals space 0 space rightwards arrow space 4 b space equals space 1 space rightwards arrow space b space equals space 1 fourth  dan  minus open parentheses 1 plus a close parentheses space equals space minus 5 a plus 4 b  minus 1 minus a space equals space minus 5 a plus 4 open parentheses 1 fourth close parentheses  minus 1 minus a space equals space minus 5 a plus 1  4 a space equals space 2  a space equals space 1 half

iii)   Hitung 8ab

8 a b space equals space 8 open parentheses 1 half close parentheses open parentheses 1 fourth close parentheses space equals space 1

iv)   Catatan tambahan

Informasi kedua, yaitu p(x) dibagi (x + 1) bersisa –a – 2 ternyata tidak begitu diperlukan.

Perdalam pemahamanmu bersama Master Teacher
di sesi Live Teaching, GRATIS!

2

Iklan

Pertanyaan serupa

Jika diketahui suku banyak f(x) jika dibagi (x + 1) sisanya 8 dan dibagi (x - 3) sisanya 4. Suku banyak q(x) jika dibagi dengan (x + 1) bersisa -9 dan jika dibagi (x - 3) sisanya 15. Jika h(x) = f(x)....

9

4.5

Jawaban terverifikasi

RUANGGURU HQ

Jl. Dr. Saharjo No.161, Manggarai Selatan, Tebet, Kota Jakarta Selatan, Daerah Khusus Ibukota Jakarta 12860

Coba GRATIS Aplikasi Roboguru

Coba GRATIS Aplikasi Ruangguru

Download di Google PlayDownload di AppstoreDownload di App Gallery

Produk Ruangguru

Hubungi Kami

Ruangguru WhatsApp

+62 815-7441-0000

Email info@ruangguru.com

[email protected]

Contact 02130930000

02130930000

Ikuti Kami

©2026 Ruangguru. All Rights Reserved PT. Ruang Raya Indonesia