Iklan

Pertanyaan

Seseorang membeli dua macam tablet : tablet A dan tablet B sebagai suplemen harian yang masing – masing mengandung elemen X dan Y. Banyaknya elemen X pada tablet A dan B masing – masing adalah 100 mg dan 200 mg, sedangkan banyaknya elemen Y yang terkandung pada tablet A dan B masing – masing 400 mg dan 200 mg. orang tersebut ingin suplemen harian yang dikonsumsi dari kedua tablet ini mengandung tidak kurang dari 0,6 g tetapi tidak lebih dari 1,6 g elemen X dan mengandung tidak kurang dari 1,2 g tetapi tidak lebih dari 2,8 g elemen Y. Jika banyak tablet setiap hari adalah a tablet A dan b tablet B, dimana a dan b adalah nilai yang membuat total tablet yang dikonsumsi sedikit mungkin, maka a + b =…

Seseorang membeli dua macam tablet : tablet A dan tablet B sebagai suplemen harian yang masing – masing mengandung elemen X dan Y. Banyaknya elemen X pada tablet A dan B masing – masing adalah 100 mg dan 200 mg, sedangkan banyaknya elemen Y yang terkandung pada tablet A dan B masing – masing 400 mg dan 200 mg. orang tersebut ingin suplemen harian yang dikonsumsi dari kedua tablet ini mengandung tidak kurang dari 0,6 g tetapi tidak lebih dari 1,6 g elemen X dan mengandung tidak kurang dari 1,2 g tetapi tidak lebih dari 2,8 g elemen Y. Jika banyak tablet setiap hari adalah a tablet A dan b tablet B, dimana a dan b adalah nilai yang membuat total tablet yang dikonsumsi sedikit mungkin, maka a + b =…

  1. 4

  2. 7

  3. 8

  4. 10

  5. 12

Ikuti Tryout SNBT & Menangkan E-Wallet 100rb

Habis dalam

02

:

20

:

26

:

25

Klaim

Iklan

N. Mustikowati

Master Teacher

Mahasiswa/Alumni Universitas Negeri Jakarta

Jawaban terverifikasi

Jawaban

didapat nilai minimum a + b adalah 4.

didapat nilai minimum a + b adalah 4.

Pembahasan

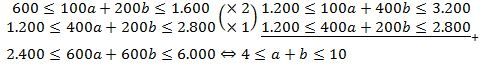
Pertama buat tabel : Sehingga didapat bentuk program linier : Min : z = a + b 600 ≤ 100a + 200b ≤ 1.600 1.200 ≤ 400a + 200b ≤ 2.800 a ≥ 0, b ≥ 0 Sehingga didapat nilai minimum a + b adalah 4.

Pertama buat tabel :

Sehingga didapat bentuk program linier :

Min : z = a + b

600 ≤ 100a + 200b ≤ 1.600  

1.200 ≤ 400a + 200b ≤ 2.800  

a ≥ 0, b ≥ 0

Sehingga didapat nilai minimum a + b adalah 4.

Perdalam pemahamanmu bersama Master Teacher
di sesi Live Teaching, GRATIS!

1

Iklan

Pertanyaan serupa

Jika titik (1,4) dan (4,1) merupakan titik minimum fungsi obyektif f(x,y) =ax + by dengan kendala x + y ≥ 5, x + 2y ≤ 20, x ≥ 0 dan y ≥ 0, maka nilai b a ​ adalah…

2

5.0

Jawaban terverifikasi

RUANGGURU HQ

Jl. Dr. Saharjo No.161, Manggarai Selatan, Tebet, Kota Jakarta Selatan, Daerah Khusus Ibukota Jakarta 12860

Coba GRATIS Aplikasi Roboguru

Coba GRATIS Aplikasi Ruangguru

Download di Google PlayDownload di AppstoreDownload di App Gallery

Produk Ruangguru

Hubungi Kami

Ruangguru WhatsApp

+62 815-7441-0000

Email info@ruangguru.com

[email protected]

Contact 02130930000

02130930000

Ikuti Kami

©2026 Ruangguru. All Rights Reserved PT. Ruang Raya Indonesia