Iklan

Pertanyaan

Sebuah perusahaan properti memproduksi dua macam lemari pakaian yaitu tipe lux dan tipe sport dengan menggunakan 2 bahan dasar yang sama yaitu kayu jati dan cat pernis. Untuk memproduksi 1 unit tipe lux dibutuhkan 10 batang kayu jati dan 3 kaleng cat pernis, sedangkan untuk memproduksi 1 unit tipe sport dibutuhkan 6 batang kayu jati dan 1 kaleng cat pernis. Biaya produksi tipe lux dan tipe sport masing-masing adalah Rp 40.000 dan Rp 28.000 per unit. Untuk satu periode produksi, perusahaan menggunakan paling sedikit 120 batang kayu jati dan 24 kaleng cat pernis. Bila perusahaan harus memproduksi lemari tipe lux paling sedikit 2 buah dan tipe sport paling sedikit 4 buah, tentukan banyak lemari tipe lux dan tipe sport yang harus diproduksi agar biaya produksinya minimum!

Sebuah perusahaan properti memproduksi dua macam lemari pakaian yaitu tipe lux dan tipe sport dengan menggunakan 2 bahan dasar yang sama yaitu kayu jati dan cat pernis. Untuk memproduksi 1 unit tipe lux dibutuhkan 10 batang kayu jati dan 3 kaleng cat pernis, sedangkan untuk memproduksi 1 unit tipe sport dibutuhkan 6 batang kayu jati  dan 1 kaleng cat pernis. Biaya produksi tipe lux dan tipe sport masing-masing adalah Rp 40.000 dan Rp 28.000 per unit. Untuk satu periode produksi, perusahaan menggunakan paling sedikit 120 batang kayu jati dan 24 kaleng cat pernis. Bila perusahaan harus memproduksi lemari tipe lux paling sedikit 2 buah dan tipe sport paling sedikit 4 buah, tentukan banyak lemari tipe lux dan tipe sport yang harus diproduksi agar biaya produksinya minimum!

  1. 24 tipe sport

  2. 12 tipe lux

  3. 8 tipe lux

  4. 3 tipe lux dan 5 tipe sport

  5. 5 tipe lux dan 3 tipe sport

Ikuti Tryout SNBT & Menangkan E-Wallet 100rb

Habis dalam

02

:

07

:

29

:

08

Klaim

Iklan

R. Mahmudah

Master Teacher

Jawaban terverifikasi

Jawaban

jawaban yang tepat adalah B.

jawaban yang tepat adalah B.

Pembahasan

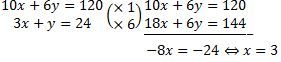
Misal : x = tipe lux y = tipe sport 10x + 6y ≥ 120 3x + y ≥ 24 f(x, y) = 40.000x + 28.000y Daerah yang diarsir adalah daerah yang bukan himpunan penyelesaian atau daerah yang salah Daerah 10x + 6y ≥ 120 adalah Uji (0,0) maka 0 + 0 ≥ 120 0 ≥ 120(salah) Maka daerah yang diarsir adalah daerah yang terdapat (0,0) yaitu daerah di sebelah kiri garis. Daerah 3x + y ≥ 24 adalah Uji (0,0) maka 0 + 0 ≥ 24 0 ≥ 24 (salah) Maka daerah yang diarsir adalah daerah yang terdapat (0,0) yaitu daerah di sebelah kiri garis. Titik potong : Subtitusikan x = 3 ke persamaan awal didapatkan y = 15 Menentukan nilai optimum f(x,y) = 40.000x + 28.000y f(0,24) = 960.000 f(12,0) = 336.000 f(3,15) = 540.000 Agar biaya produksi minimum maka perusahaan tersebut harus memproduksi 12 lemari tipe lux. Jadi, jawaban yang tepat adalah B.

Misal :

x = tipe lux

y = tipe sport

10x + 6y ≥ 120

3x + y ≥ 24

f(x, y) = 40.000x + 28.000y

Daerah yang diarsir adalah daerah yang bukan himpunan penyelesaian atau daerah yang salah

Daerah 10x + 6y ≥ 120 adalah

Uji (0,0) maka

0 + 0 ≥ 120

0 ≥ 120 (salah)

Maka daerah yang diarsir adalah daerah yang terdapat (0,0) yaitu daerah di sebelah kiri garis.

Daerah 3x + y ≥ 24 adalah

Uji (0,0) maka

0 + 0 ≥ 24

0 ≥ 24 (salah)

Maka daerah yang diarsir adalah daerah yang terdapat (0,0) yaitu daerah di sebelah kiri garis.

Titik potong :

Subtitusikan x = 3 ke persamaan awal didapatkan y = 15  

Menentukan nilai optimum

f(x,y) = 40.000x + 28.000y  

f(0,24) = 960.000  

f(12,0) = 336.000  

f(3,15) = 540.000  

Agar biaya produksi minimum maka perusahaan tersebut harus memproduksi 12 lemari tipe lux.

Jadi, jawaban yang tepat adalah B.

Perdalam pemahamanmu bersama Master Teacher
di sesi Live Teaching, GRATIS!

5

Putri Aulia

Bantu banget

Syahrijal Hidayatullah

Bantu banget

Iklan

Pertanyaan serupa

Harga permen A Rp3.000,00 per bungkus dijual dengan keuntungan Rp200,00 per bungkus. Harga permen B Rp2.000,00 perbungkus dijual dengan keuntungan Rp300,00 per bungkus. Seorang pedagang mempunyai moda...

1

0.0

Jawaban terverifikasi

RUANGGURU HQ

Jl. Dr. Saharjo No.161, Manggarai Selatan, Tebet, Kota Jakarta Selatan, Daerah Khusus Ibukota Jakarta 12860

Coba GRATIS Aplikasi Roboguru

Coba GRATIS Aplikasi Ruangguru

Download di Google PlayDownload di AppstoreDownload di App Gallery

Produk Ruangguru

Hubungi Kami

Ruangguru WhatsApp

+62 815-7441-0000

Email info@ruangguru.com

[email protected]

Contact 02130930000

02130930000

Ikuti Kami

©2026 Ruangguru. All Rights Reserved PT. Ruang Raya Indonesia