Iklan

Pertanyaan

Nilai maksimum fungsi z = 8x + y dengan syarat 4x + 2y ≤ 60 2x + 4y ≤ 48 X ≥ 0 Y ≥ 0 Adalah ....

Nilai maksimum fungsi z = 8x + y dengan syarat

4x + 2y ≤ 60

2x + 4y ≤ 48

X ≥ 0

Y ≥ 0

Adalah ....

  1. 120

  2. 108

  3. 102

  4. 64

  5. 12

Ikuti Tryout SNBT & Menangkan E-Wallet 100rb

Habis dalam

02

:

07

:

29

:

52

Klaim

Iklan

N. Mustikowati

Master Teacher

Mahasiswa/Alumni Universitas Negeri Jakarta

Jawaban terverifikasi

Jawaban

nilai maksimumnya adalah 120.

nilai maksimumnya adalah 120.

Pembahasan

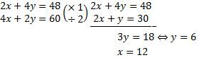
Daerah yang diarsir adalah daerah yang bukan himpunan penyeleseian atau daerah yang salah Daerah 2x + 4y ≤ 48 adalah Uji (0,0) maka 0 + 0 ≤ 48 0 ≤ 48(benar) Maka daerah yang diarsir adalah daerah yang tidak terdapat (0,0) yaitu daerah disebelah kanan garis. Daerah 2x + 4y ≤ 60 adalah Uji (0,0) maka 0 + 0 ≤ 60 0 ≤ 60 (benar) Maka daerah yang diarsir adalah daerah yang tidak terdapat (0,0) yaitu daerah di sebelah kanan garis. Titik potong : Subtitusikan satu persatu titik pojok : (0,12) ⇒ z = 8(0) + 12 = 12 (15,0) ⇒ z = 8(15) + 0 = 120 (12,6) ⇒ z = 8(12) + 6= 102 Jadi, nilai maksimumnya adalah 120.

Daerah yang diarsir adalah daerah yang bukan himpunan penyeleseian atau daerah yang salah

Daerah 2x + 4y ≤ 48 adalah

Uji (0,0) maka

0 + 0 ≤ 48

0 ≤ 48 (benar)

Maka daerah yang diarsir adalah daerah yang tidak terdapat (0,0) yaitu daerah disebelah kanan garis.

Daerah 2x + 4y ≤ 60 adalah

Uji (0,0) maka

0 + 0 ≤ 60

0 ≤ 60 (benar)

Maka daerah yang diarsir adalah daerah yang tidak terdapat (0,0) yaitu daerah di sebelah kanan garis.

Titik potong :

Subtitusikan satu persatu titik pojok :

(0,12) ⇒ z = 8(0) + 12 = 12  

(15,0) ⇒ z = 8(15) + 0 = 120  

(12,6) ⇒ z = 8(12) + 6= 102  

Jadi, nilai maksimumnya adalah 120.

Perdalam pemahamanmu bersama Master Teacher
di sesi Live Teaching, GRATIS!

1

32. Siti Amalia Rizky

X = 12 dapet dri mana ya?

Yurnita

Makasih ❤️

Solekha

Makasih ❤️

Iklan

Pertanyaan serupa

Seseorang membeli dua macam tablet : tablet A dan tablet B sebagai suplemen harian yang masing – masing mengandung elemen X dan Y. Banyaknya elemen X pada tablet A dan B masing – masing adalah 100 mg ...

1

5.0

Jawaban terverifikasi

RUANGGURU HQ

Jl. Dr. Saharjo No.161, Manggarai Selatan, Tebet, Kota Jakarta Selatan, Daerah Khusus Ibukota Jakarta 12860

Coba GRATIS Aplikasi Roboguru

Coba GRATIS Aplikasi Ruangguru

Download di Google PlayDownload di AppstoreDownload di App Gallery

Produk Ruangguru

Hubungi Kami

Ruangguru WhatsApp

+62 815-7441-0000

Email info@ruangguru.com

[email protected]

Contact 02130930000

02130930000

Ikuti Kami

©2026 Ruangguru. All Rights Reserved PT. Ruang Raya Indonesia