Iklan

Pertanyaan

Seorang petani memiliki lahan pertanian seluas 8 hektar. Ia akan menanami lahan tersebut dengan tanaman padi dan jagung, Dari satu hektar tanaman padi dapat dipanen 3 ton padi, sedangkan dari satu hektar tanaman jagung dapat dipanen 4 ton jagung. Petani itu ingin memperoleh hasil panen tidak kurang dari 30 ton. Jika biaya menanam 1 hektar tanaman padi adalah Rp500.000,00 dan biaya menanam satu hektar tanaman jagung adalah Rp600.000,00, maka biaya minimum yang harus dikeluarkan petani adalah....

Seorang petani memiliki lahan pertanian seluas 8 hektar. Ia akan menanami lahan tersebut dengan tanaman padi dan jagung, Dari satu hektar tanaman padi dapat dipanen 3 ton padi, sedangkan dari satu hektar tanaman jagung dapat dipanen 4 ton jagung. Petani itu ingin memperoleh hasil panen tidak kurang dari 30 ton. Jika biaya menanam 1 hektar tanaman padi adalah Rp500.000,00 dan biaya menanam satu hektar tanaman jagung adalah Rp600.000,00, maka biaya minimum yang harus dikeluarkan petani adalah....

  1. Rp4.800.000,00

  2. Rp4.700.000,00

  3. Rp4.600.000,00

  4. Rp4.500.000,00

  5. Rp4.400.000,00

Ikuti Tryout SNBT & Menangkan E-Wallet 100rb

Habis dalam

00

:

09

:

20

:

06

Klaim

Iklan

Y. Endah

Master Teacher

Mahasiswa/Alumni Institut Teknologi Bandung

Jawaban terverifikasi

Pembahasan

M i s a l k a n space colon space  x space equals space s a t u space h e k t a r space p a d i space y a n g space d i tan a m space  y space equals space s a t u space h e k t a r space j a g u n g space y a n g space d i tan a m space  m a k a space d i d a p a t space b e n t u k space p r o g r a m space l i n i e r space  M i n space f left parenthesis x comma y right parenthesis equals 500.000 x plus 600.000 y space  D e n g a n space s y a r a t space colon space  x plus y greater or equal than 8 space  3 x plus 4 y greater or equal than 30 space  x greater or equal than 0 space semicolon space y greater or equal than 0

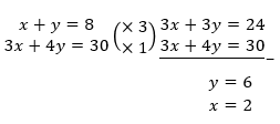
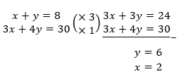
K o o r d i n a t space A space d i p e r o l e h space d a r i space e l i m i n a s i space b e r i k u t space colon

A space left parenthesis 2 comma space 6 right parenthesis space  S e h i n g g a space d i d a p a t space t i t i k space p o j o k space a d a l a h space left parenthesis 10 comma 0 right parenthesis comma space left parenthesis 2 comma 6 right parenthesis comma space left parenthesis 0 comma 8 right parenthesis  f left parenthesis 0 comma 7 comma 5 right parenthesis equals 500.000 left parenthesis 0 right parenthesis plus 600.000 left parenthesis 7 comma 5 right parenthesis equals 4.500.000 space  f left parenthesis 2 comma 6 right parenthesis equals 500.000 left parenthesis 2 right parenthesis plus 600.000 left parenthesis 6 right parenthesis equals 4.600.000 space  f left parenthesis 0 comma 8 right parenthesis equals 500.000 left parenthesis 0 right parenthesis plus 600.000 left parenthesis 8 right parenthesis equals 4.800.000 space  M a k a space d i d a p a t space n i l a i space m i n i m u m space a d a l a h space R p 4.500.000

Perdalam pemahamanmu bersama Master Teacher
di sesi Live Teaching, GRATIS!

12

Yuni F

Pembahasan lengkap banget

DHEED LMH

Pembahasan lengkap banget Mudah dimengerti Makasih ❤️ Bantu banget Ini yang aku cari!

Azzahra Raihatul Janah

Bantu banget

Dasha Budi Azarine

tanda lebih besar dari dan lebih kecil dari tidak sama dengan gambar grafik

Ni Putu Arien Mahayani

Jawaban tidak sesuai

Iklan

Pertanyaan serupa

Seorang pemilik toko sandal memiliki modal Rp4.000.000,00. Ia membeli setiap pasang sandal A Rp10.000,00 dan sandal B Rp8.000,00. Setiap pasang sandal A dan sandal B masing-masing memberi keuntungan R...

2

4.3

Jawaban terverifikasi

RUANGGURU HQ

Jl. Dr. Saharjo No.161, Manggarai Selatan, Tebet, Kota Jakarta Selatan, Daerah Khusus Ibukota Jakarta 12860

Coba GRATIS Aplikasi Roboguru

Coba GRATIS Aplikasi Ruangguru

Download di Google PlayDownload di AppstoreDownload di App Gallery

Produk Ruangguru

Hubungi Kami

Ruangguru WhatsApp

+62 815-7441-0000

Email info@ruangguru.com

[email protected]

Contact 02130930000

02130930000

Ikuti Kami

©2026 Ruangguru. All Rights Reserved PT. Ruang Raya Indonesia