Iklan

Pertanyaan

Seorang penjahit memiliki persediaan 4 m kain wol dan 5 m kain satin. Dari kain tersebut akan dibuat dua model baju. Baju pesta I memerlukan 2 m kain wol dan 1 m kain satin, sedangkan baju pesta II memerlukan 1 m kain wol dan 2 m kain satin. Baju pesta I dijual dengan harga Rp 600.000,00 dan baju pesta II seharga Rp 500.000,00. Jika baju pesta tersebut terjual, hasil penjualan maksimum penjahit tersebut adalah.....

Seorang penjahit memiliki persediaan 4 m kain wol dan 5 m kain satin. Dari kain tersebut akan dibuat dua model baju. Baju pesta I memerlukan 2 m kain wol dan 1 m kain satin, sedangkan baju pesta II memerlukan 1 m kain wol dan 2 m kain satin. Baju pesta I dijual dengan harga Rp 600.000,00 dan baju pesta II seharga Rp 500.000,00. Jika baju pesta tersebut terjual, hasil penjualan maksimum penjahit tersebut adalah.....

  1. Rp 1.800.000,00

  2. Rp 1.700.000,00

  3. Rp 1.600.000,00

  4. Rp 1.250.000,00

  5. Rp 1.200.000,00

Ikuti Tryout SNBT & Menangkan E-Wallet 100rb

Habis dalam

02

:

20

:

37

:

42

Klaim

Iklan

Y. Endah

Master Teacher

Mahasiswa/Alumni Institut Teknologi Bandung

Jawaban terverifikasi

Pembahasan

P e r h a t i k a n space t a b e l space b e r i k u t space factorial

Error converting from MathML to accessible text.

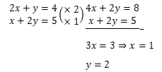
K e m u d i a n space e l i m i n a s i space d u a space p e r s a m a a n space g a r i s space colon

Error converting from MathML to accessible text.

Perdalam pemahamanmu bersama Master Teacher
di sesi Live Teaching, GRATIS!

17

Raviva Nabila

Makasih ❤️

Anni Laia2

Bantu banget

Deni Denayantya

Pembahasan lengkap banget, Ini yang aku cari!

Siti Nurhaliza

Pembahasan lengkap banget

Wandi riswandi Riswandi

Pembahasan tidak lengkap

Iklan

Pertanyaan serupa

Seorang pemilik toko sandal memiliki modal Rp4.000.000,00. Ia membeli setiap pasang sandal A Rp10.000,00 dan sandal B Rp8.000,00. Setiap pasang sandal A dan sandal B masing-masing memberi keuntungan R...

1

4.3

Jawaban terverifikasi

RUANGGURU HQ

Jl. Dr. Saharjo No.161, Manggarai Selatan, Tebet, Kota Jakarta Selatan, Daerah Khusus Ibukota Jakarta 12860

Coba GRATIS Aplikasi Roboguru

Coba GRATIS Aplikasi Ruangguru

Download di Google PlayDownload di AppstoreDownload di App Gallery

Produk Ruangguru

Hubungi Kami

Ruangguru WhatsApp

+62 815-7441-0000

Email info@ruangguru.com

[email protected]

Contact 02130930000

02130930000

Ikuti Kami

©2025 Ruangguru. All Rights Reserved PT. Ruang Raya Indonesia