Iklan

Pertanyaan

Perusahaan “taperwer” menyatakan bahwa umur tempat makan buatannya adalah 6000 hari. Untuk membuktikan kebenaran klaim tersebut suatu lembaga konsumen melakukan penelitian atas perusahaan “taperwer”. Dari sampel sebanyak 36 tempat makan, didapat umur rata – rata 5800 hari dan simpangan baku 600 hari . Dengan taraf nyata α = 0 , 05 , Nilai kebenaran pernyataan tersebut adalah…

Perusahaan “taperwer” menyatakan bahwa umur tempat makan buatannya adalah 6000 hari. Untuk membuktikan kebenaran klaim tersebut suatu lembaga konsumen melakukan penelitian atas perusahaan “taperwer”. Dari sampel sebanyak 36 tempat makan, didapat umur rata – rata 5800 hari dan simpangan baku 600 hari . Dengan taraf nyata , Nilai kebenaran pernyataan tersebut adalah…

  1. Benar

  2. Salah

  3. Benar dengan syarat

  4. Ragu-ragu

  5. Tidak bisa diambil dengan keputusan

Ikuti Tryout SNBT & Menangkan E-Wallet 100rb

Habis dalam

02

:

22

:

28

:

09

Klaim

Iklan

N. Ayu

Master Teacher

Mahasiswa/Alumni Universitas Negeri Padang

Jawaban terverifikasi

Pembahasan

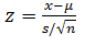
Hipotesis Uji statistik dari variabel acak Variabel acaknya mempunyai distribusi normal, uji statistiknya adalah Taraf Nyata Daerah penerimaan atau penolakan Daerah penolakan: Daerah penerimaan: Nilai Uji Statistik Karena z berada di daerah penolakan maka pernyataan perusahaan "taperwer" tersebut tidak tepat, sehingga salah.

Hipotesis

 

Uji statistik dari variabel acak

Variabel acaknya mempunyai distribusi normal, uji statistiknya adalah

 

Taraf Nyata

alpha equals 0 comma 05

 

Daerah penerimaan atau penolakan

Daerah penolakan: z less than negative z subscript 0 comma 05 end subscript space atau space z less than negative 1.645

Daerah penerimaan: z greater than negative z subscript 0 comma 05 end subscript space atau space z greater than negative 1.645

 

Nilai Uji Statistik

Karena z berada di daerah penolakan H subscript 0 maka pernyataan perusahaan "taperwer" tersebut tidak tepat, sehingga salah.

 

Perdalam pemahamanmu bersama Master Teacher
di sesi Live Teaching, GRATIS!

11

Iklan

Pertanyaan serupa

Seorang inspektor PT Agro Lestari ingin menguji apakah apel yang diekspor dengan kategori I mempunyai berat 500 gram. Dia mengukur berat dari 100 apel dan mendapatkan berat rata – rata apel 509 gram d...

1

0.0

Jawaban terverifikasi

RUANGGURU HQ

Jl. Dr. Saharjo No.161, Manggarai Selatan, Tebet, Kota Jakarta Selatan, Daerah Khusus Ibukota Jakarta 12860

Coba GRATIS Aplikasi Roboguru

Coba GRATIS Aplikasi Ruangguru

Download di Google PlayDownload di AppstoreDownload di App Gallery

Produk Ruangguru

Hubungi Kami

Ruangguru WhatsApp

+62 815-7441-0000

Email info@ruangguru.com

[email protected]

Contact 02130930000

02130930000

Ikuti Kami

©2026 Ruangguru. All Rights Reserved PT. Ruang Raya Indonesia