Iklan

Pertanyaan

Humairah mengatur bunga pelastik untuk dijual kembali. Ada 30 tangkai mawar dan 24 tangkai bunga bakung. Kedua bunga ditempatkan dalam vas dengan jumlah dan komposisi yang sama. Berapakah vas bunga yang dibutuhkan Humairoh dan berapa jumlah mawar dalam tiap vas bunga?

Humairah mengatur bunga pelastik untuk dijual kembali. Ada 30 tangkai mawar dan 24 tangkai bunga bakung. Kedua bunga ditempatkan dalam vas dengan jumlah dan komposisi yang sama. Berapakah vas bunga yang dibutuhkan Humairoh dan berapa jumlah mawar dalam tiap vas bunga?space 

Ikuti Tryout SNBT & Menangkan E-Wallet 100rb

Habis dalam

02

:

19

:

34

:

31

Klaim

Iklan

D. Rajib

Master Teacher

Mahasiswa/Alumni Universitas Muhammadiyah Malang

Jawaban terverifikasi

Jawaban

banyak mawar setiap vas adalah 5 bunga mawar.

banyak mawar setiap vas adalah 5 bunga mawar.

Pembahasan

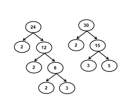
Diketahui terdapat30 tangkai mawar dan 24 tangkai bunga bakung. Kedua jenis tangkai bunga tersebut akan di tempatakan dalam vas dengan jumlah dan komposisi yang sama. Jumlah vas yang diperlukan dapat ditentukan dengan menentukan FPB dari 30 dan 24 sehingga Maka diperoleh 30 = 2 × 3 × 5 24 = 2 3 × 3 Sehingga FPB dari 30 dan 24 FPB ​ = = ​ 2 × 3 6 ​ Jadi jumlah vas yang dibutuhkan adalah 6 sehingga banyaknya mawar dalam setiap vas yaitu banyakmawarsetiapvas ​ = = ​ 6 30 ​ 5 ​ Dengan demikian, banyak mawar setiap vas adalah 5 bunga mawar.

Diketahui terdapat 30 tangkai mawar dan 24 tangkai bunga bakung. Kedua jenis tangkai bunga tersebut akan di tempatakan dalam vas dengan jumlah dan komposisi yang sama. Jumlah vas yang diperlukan dapat ditentukan dengan menentukan FPB dari 30 dan 24 sehingga

Maka diperoleh

Sehingga FPB dari 30 dan 24

Jadi jumlah vas yang dibutuhkan adalah 6 sehingga banyaknya mawar dalam setiap vas yaitu

Dengan demikian, banyak mawar setiap vas adalah 5 bunga mawar.

Perdalam pemahamanmu bersama Master Teacher
di sesi Live Teaching, GRATIS!

1

aryaniii

Jawaban tidak sesuai

Iklan

Pertanyaan serupa

Pak Bandi mempunyai 12 buah apel, 18 buah jeruk dan 24 buah manggis. Buah-buah tersebut akan dikemas kedalam plastik sama banyak. Berapa plastik terbanyak yang harus disediakan Pak Bandi?

6

3.7

Jawaban terverifikasi

RUANGGURU HQ

Jl. Dr. Saharjo No.161, Manggarai Selatan, Tebet, Kota Jakarta Selatan, Daerah Khusus Ibukota Jakarta 12860

Coba GRATIS Aplikasi Roboguru

Coba GRATIS Aplikasi Ruangguru

Download di Google PlayDownload di AppstoreDownload di App Gallery

Produk Ruangguru

Hubungi Kami

Ruangguru WhatsApp

+62 815-7441-0000

Email info@ruangguru.com

[email protected]

Contact 02130930000

02130930000

Ikuti Kami

©2026 Ruangguru. All Rights Reserved PT. Ruang Raya Indonesia