Lyra F

07 Agustus 2025 09:31
Iklan
Lyra F

07 Agustus 2025 09:31
Pertanyaan
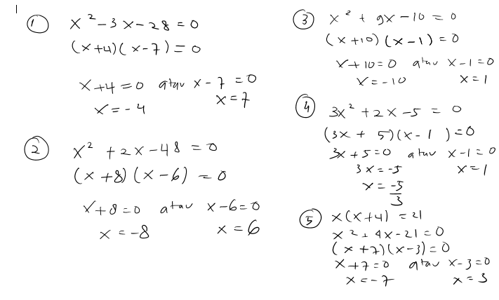
Carilah akar-akar PK berikut dengan cara faktorisasi
1. X² -3X -28 =0
2. X² + 2X -48 =0
3. X² +9X -10 =0
4. 3X² + 2X -5 =0
5. X (X+4) =21
4
3
Iklan
E. Nur
07 Agustus 2025 10:44
Pembahasan pada gambar terlampir
· 3.3 (3)
Iklan
Brevin L

07 Agustus 2025 09:54
Kira kira apa ya jawabannya??
· 5.0 (1)
Marfanda A
08 Agustus 2025 16:07
gak nampak jawaban nya.
Kesya Z
08 Agustus 2025 12:43
X²: 20 bagaimana jalanya
· 5.0 (1)
Tanya ke AiRIS
Yuk, cobain chat dan belajar bareng AiRIS, teman pintarmu!

LATIHAN SOAL GRATIS!
Drill Soal
Latihan soal sesuai topik yang kamu mau untuk persiapan ujian


Perdalam pemahamanmu bersama Master Teacher
di sesi Live Teaching, GRATIS!