Iklan

Pertanyaan

Sisa pembagian p(x) = x 3 + ax 2 + 4x + 2b + 1 oleh x 2 + 4 adalah b – 3a. Jika p(x) habis dibagi oleh x + 1, maka a 2 + b = ....

Sisa pembagian p(x) = x3 + ax2 + 4x + 2b + 1 oleh x2 + 4 adalah b – 3a. Jika p(x) habis dibagi oleh x + 1, maka a2 + b = ....

  1. 1

  2. 3

  3. 5

  4. 7

  5. 9

Ikuti Tryout SNBT & Menangkan E-Wallet 100rb

Habis dalam

02

:

20

:

11

:

59

Klaim

Iklan

S. Rahmi

Master Teacher

Jawaban terverifikasi

Jawaban

jawaban yang tepat adalah C.

jawaban yang tepat adalah C.

Pembahasan

Dengan cara pembagian biasa, didapatkan pembagian p(x) = x 3 + ax 2 + 4x +2b + 1oleh x 2 + 4 adalah sebagai berikut : Dari pembagian tersebut, didapat sisanya adalah2b + 1 – 4a Karena pada soal diketahui sisanya adalah b – 3a, maka didapat persamaan berikut. Kemudian p(x) habis dibagi oleh x + 1. Perhatikan perhitungan berikut! Oleh karena itu, Dengan demikian, Jadi, jawaban yang tepat adalah C.

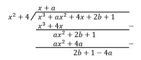
Dengan cara pembagian biasa, didapatkan pembagian p(x) = x3 + ax2 + 4x + 2b + 1 oleh x2 + 4 adalah sebagai berikut :

 

Dari pembagian tersebut, didapat sisanya adalah 2b + 1 – 4a
Karena pada soal diketahui sisanya adalah b – 3a, maka didapat persamaan berikut.

 begin mathsize 14px style table attributes columnalign right center left columnspacing 0px end attributes row cell 2 straight b plus 1 minus 4 straight a end cell equals cell straight b minus 3 straight a space end cell row cell 2 straight b minus straight b plus 1 end cell equals cell 4 straight a minus 3 straight a space end cell row cell straight b plus 1 end cell equals straight a end table end style 

Kemudian p(x) habis dibagi oleh x + 1. Perhatikan perhitungan berikut!

begin mathsize 14px style table attributes columnalign right center left columnspacing 0px end attributes row cell straight p left parenthesis negative 1 right parenthesis end cell equals 0 row cell left parenthesis negative 1 right parenthesis cubed plus straight a left parenthesis negative 1 right parenthesis squared plus 4 left parenthesis negative 1 right parenthesis plus 2 straight b plus 1 end cell equals 0 row cell negative 1 plus straight a minus 4 plus 2 straight b plus 1 end cell equals 0 row cell straight a plus 2 straight b minus 4 end cell equals 0 row cell left parenthesis straight b plus 1 right parenthesis plus 2 straight b minus 4 end cell equals 0 row cell 3 straight b minus 3 end cell equals 0 row cell 3 straight b end cell equals 3 row straight b equals 1 end table end style 

Oleh karena itu,

begin mathsize 14px style straight a equals straight b plus 1 equals 1 plus 1 equals 2 end style 

Dengan demikian,

begin mathsize 14px style straight a squared plus straight b equals 2 squared plus 1 equals 4 plus 1 equals 5 end style 

Jadi, jawaban yang tepat adalah C.

Perdalam pemahamanmu bersama Master Teacher
di sesi Live Teaching, GRATIS!

21

Catherine Tesalonika

Makasih ❤️

Iklan

Pertanyaan serupa

Jika sisa pembagian f(x) oleh x 3 – 3x + 5 adalah 3x 2 – 2 dan sisa pembagian (x 2 + f(x)) 2 oleh x 3 – 3x + 5 adalah ax 2 + bx + c, maka a + b + c = ....

1

0.0

Jawaban terverifikasi

RUANGGURU HQ

Jl. Dr. Saharjo No.161, Manggarai Selatan, Tebet, Kota Jakarta Selatan, Daerah Khusus Ibukota Jakarta 12860

Coba GRATIS Aplikasi Roboguru

Coba GRATIS Aplikasi Ruangguru

Download di Google PlayDownload di AppstoreDownload di App Gallery

Produk Ruangguru

Hubungi Kami

Ruangguru WhatsApp

+62 815-7441-0000

Email info@ruangguru.com

[email protected]

Contact 02130930000

02130930000

Ikuti Kami

©2025 Ruangguru. All Rights Reserved PT. Ruang Raya Indonesia