Iklan

Pertanyaan

Jika sisa pembagian f(x) oleh x 3 – 3x + 5 adalah 3x 2 – 2 dan sisa pembagian (x 2 + f(x)) 2 oleh x 3 – 3x + 5 adalah ax 2 + bx + c, maka a + b + c = ....

Jika sisa pembagian f(x) oleh x3 – 3x + 5 adalah 3x2 – 2 dan sisa pembagian (x2 + f(x))2 oleh x3 – 3x + 5 adalah ax2 + bx + c, maka a + b + c = ....

  1. –34

  2. –44

  3. –54

  4. –64

  5. –74

Ikuti Tryout SNBT & Menangkan E-Wallet 100rb

Habis dalam

02

:

20

:

12

:

01

Klaim

Iklan

S. Rahmi

Master Teacher

Jawaban terverifikasi

Jawaban

jawaban yang tepat adalah B.

jawaban yang tepat adalah B.

Pembahasan

Karena sisa pembagian f(x) oleh x 3 – 3x + 5 adalah 3x 2 – 2, maka dituliskan menjadi bentuk persamaan berikut. Misalkan p(x) = x 3 – 3x + 5. Maka dapat diubah menjadi Dengan demikian, Maka Perhatikan pembagian 16x 4 – 16x 2 + 4 oleh x 3 – 3x + 5 berikut. Oleh karena itu, Maka didapatkan, Misalkan h 2 (x)p(x) + 2h(x)(4x 2 – 2) + 16x = h 1 (x), maka didapatkan persamaan berikut. Dengan demikian, (x 2 + f(x)) 2 jika dibagi oleh x 3 – 3x + 5bersisa 32x 2 – 80x + 4. Pada soal diketahui bahwa sisa pembagian (x 2 + f(x)) 2 oleh x 3 – 3x + 5 adalahax 2 + bx + c. Karena didapatkan nilai a = 32, b = –80, dan c = 4, maka diperoleh Jadi, jawaban yang tepat adalah B.

Karena sisa pembagian f(x) oleh x3 – 3x + 5 adalah 3x2 – 2, maka dituliskan menjadi bentuk persamaan berikut.

begin mathsize 14px style straight f left parenthesis straight x right parenthesis equals straight h left parenthesis straight x right parenthesis left parenthesis straight x cubed minus 3 straight x plus 5 right parenthesis plus left parenthesis 3 straight x squared minus 2 right parenthesis end style 

Misalkan p(x) = x3 – 3x + 5. Maka dapat diubah menjadi

begin mathsize 14px style straight f left parenthesis straight x right parenthesis equals straight h left parenthesis straight x right parenthesis straight p left parenthesis straight x right parenthesis plus left parenthesis 3 straight x squared minus 2 right parenthesis end style 

Dengan demikian,

begin mathsize 14px style table attributes columnalign right center left columnspacing 0px end attributes row cell straight x squared plus straight f left parenthesis straight x right parenthesis end cell equals cell straight x squared plus left parenthesis straight h left parenthesis straight x right parenthesis straight p left parenthesis straight x right parenthesis plus left parenthesis 3 straight x squared minus 2 right parenthesis right parenthesis end cell row blank equals cell straight h left parenthesis straight x right parenthesis straight p left parenthesis straight x right parenthesis plus left parenthesis 4 straight x squared minus 2 right parenthesis end cell end table end style 

Maka

begin mathsize 14px style table attributes columnalign right center left columnspacing 0px end attributes row blank blank cell left parenthesis straight x squared plus straight f left parenthesis straight x right parenthesis right parenthesis squared end cell row blank equals cell left parenthesis straight h left parenthesis straight x right parenthesis straight p left parenthesis straight x right parenthesis plus left parenthesis 4 straight x squared minus 2 right parenthesis right parenthesis squared end cell row blank equals cell straight h squared left parenthesis straight x right parenthesis straight p squared left parenthesis straight x right parenthesis plus 2 straight h left parenthesis straight x right parenthesis straight p left parenthesis straight x right parenthesis left parenthesis 4 straight x squared minus 2 right parenthesis plus left parenthesis 4 straight x squared minus 2 right parenthesis squared end cell row blank equals cell straight h squared left parenthesis straight x right parenthesis straight p squared left parenthesis straight x right parenthesis plus 2 straight h left parenthesis straight x right parenthesis straight p left parenthesis straight x right parenthesis left parenthesis 4 straight x squared minus 2 right parenthesis plus left parenthesis 16 straight x to the power of 4 minus 16 straight x squared plus 4 right parenthesis end cell end table end style 

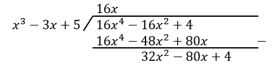
Perhatikan pembagian 16x4 – 16x2 + 4 oleh x3 – 3x + 5 berikut.

 

Oleh karena itu,

begin mathsize 14px style table attributes columnalign right center left columnspacing 0px end attributes row cell 16 straight x to the power of 4 minus 16 squared plus 4 end cell equals cell 16 straight x left parenthesis straight x cubed minus 3 straight x plus 5 right parenthesis plus left parenthesis 32 straight x squared minus 80 straight x plus 4 right parenthesis end cell row blank equals cell 16 xp left parenthesis straight x right parenthesis plus left parenthesis 32 straight x squared minus 80 straight x plus 4 right parenthesis end cell end table end style 

Maka didapatkan,

begin mathsize 14px style table attributes columnalign right center left columnspacing 0px end attributes row blank blank cell left parenthesis straight x squared plus straight f left parenthesis straight x right parenthesis right parenthesis squared end cell row blank equals cell straight h squared left parenthesis straight x right parenthesis straight p squared left parenthesis straight x right parenthesis plus 2 straight h left parenthesis straight x right parenthesis straight p left parenthesis straight x right parenthesis left parenthesis 4 straight x squared minus 2 right parenthesis plus left parenthesis 16 straight x to the power of 4 minus 16 straight x squared plus 4 right parenthesis end cell row blank equals cell straight h squared left parenthesis straight x right parenthesis straight p squared left parenthesis straight x right parenthesis plus 2 straight h left parenthesis straight x right parenthesis straight p left parenthesis straight x right parenthesis left parenthesis 4 straight x squared minus 2 right parenthesis plus 16 xp left parenthesis straight x right parenthesis plus left parenthesis 32 straight x squared minus 80 straight x plus 4 right parenthesis end cell row blank equals cell left parenthesis straight h squared left parenthesis straight x right parenthesis straight p left parenthesis straight x right parenthesis plus 2 straight h left parenthesis straight x right parenthesis left parenthesis 4 straight x squared minus 2 right parenthesis plus 16 straight x right parenthesis straight p left parenthesis straight x right parenthesis plus left parenthesis 32 straight x squared minus 80 straight x plus 4 right parenthesis end cell end table end style 

Misalkan h2(x)p(x) + 2h(x)(4x2 – 2) + 16x = h1 (x), maka didapatkan persamaan berikut.

begin mathsize 14px style table attributes columnalign right center left columnspacing 0px end attributes row blank blank cell left parenthesis straight x squared plus straight f left parenthesis straight x right parenthesis right parenthesis squared end cell row blank equals cell left parenthesis straight h squared left parenthesis straight x right parenthesis straight p left parenthesis straight x right parenthesis plus 2 straight h left parenthesis straight x right parenthesis left parenthesis 4 straight x squared minus 2 right parenthesis plus 16 straight x right parenthesis straight p left parenthesis straight x right parenthesis plus left parenthesis 32 straight x squared minus 80 straight x plus 4 right parenthesis end cell row blank equals cell straight h subscript 1 left parenthesis straight x right parenthesis straight p left parenthesis straight x right parenthesis plus left parenthesis 32 straight x squared minus 80 straight x plus 4 right parenthesis end cell row blank equals cell straight h subscript 1 left parenthesis straight x right parenthesis left parenthesis straight x cubed minus 3 straight x plus 5 right parenthesis plus left parenthesis 32 straight x squared minus 80 straight x plus 4 right parenthesis end cell end table end style 

Dengan demikian, (x2 + f(x))2 jika dibagi oleh x3 – 3x + 5 bersisa 32x2 – 80x + 4.

Pada soal diketahui bahwa sisa pembagian (x2 + f(x))2 oleh x3 – 3x + 5 adalah ax2 + bx + c.

Karena didapatkan nilai a = 32, b = –80, dan c = 4, maka diperoleh

begin mathsize 14px style straight a plus straight b plus straight c equals 32 plus left parenthesis negative 80 right parenthesis plus 4 equals negative 44 end style 

Jadi, jawaban yang tepat adalah B.

Perdalam pemahamanmu bersama Master Teacher
di sesi Live Teaching, GRATIS!

1

Iklan

Pertanyaan serupa

Sisa pembagian p(x) = x 3 + ax 2 + 4x + 2b + 1 oleh x 2 + 4 adalah b – 3a. Jika p(x) habis dibagi oleh x + 1, maka a 2 + b = ....

21

5.0

Jawaban terverifikasi

RUANGGURU HQ

Jl. Dr. Saharjo No.161, Manggarai Selatan, Tebet, Kota Jakarta Selatan, Daerah Khusus Ibukota Jakarta 12860

Coba GRATIS Aplikasi Roboguru

Coba GRATIS Aplikasi Ruangguru

Download di Google PlayDownload di AppstoreDownload di App Gallery

Produk Ruangguru

Hubungi Kami

Ruangguru WhatsApp

+62 815-7441-0000

Email info@ruangguru.com

[email protected]

Contact 02130930000

02130930000

Ikuti Kami

©2025 Ruangguru. All Rights Reserved PT. Ruang Raya Indonesia