Iklan

Pertanyaan

Harga permen A Rp3.000,00 per bungkus dijual dengan keuntungan Rp200,00 per bungkus. Harga permen B Rp2.000,00 perbungkus dijual dengan keuntungan Rp300,00 per bungkus. Seorang pedagang mempunyai modal Rp900.000,00 dan kiosnya mampu menampung 400 bungkus permen. Berapa banyak permen A dan permen B untuk memperoleh keuntungan maksimum?

Harga permen A Rp3.000,00 per bungkus dijual dengan keuntungan Rp200,00 per bungkus. Harga permen B Rp2.000,00 perbungkus dijual dengan keuntungan Rp300,00 per bungkus. Seorang pedagang mempunyai modal Rp900.000,00 dan kiosnya mampu menampung 400 bungkus permen. Berapa banyak permen A dan permen B untuk memperoleh keuntungan maksimum?

  1. Permen B 400 buah

  2. Permen A 300 Buah

  3. Permen A 100 dan Permen B 300

  4. Permen A 300 dan Permen B 100

  5. Permen A 400 dan Permen B 300

Ikuti Tryout SNBT & Menangkan E-Wallet 100rb

Habis dalam

02

:

06

:

03

:

32

Klaim

Iklan

N. Mustikowati

Master Teacher

Mahasiswa/Alumni Universitas Negeri Jakarta

Jawaban terverifikasi

Jawaban

agar memperoleh keuntungan maksimum, banyak permen B yang dijual 400 dan permen A 0.

agar memperoleh keuntungan maksimum, banyak permen B yang dijual 400 dan permen A 0.

Pembahasan

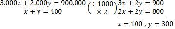
Misal : Permen A = x Permen B = y 3.000x + 2.000y ≤ 900.000 x + y ≤ 400 F(x,y) = 200x + 300y Daerah yang diarsir adalah daerah yang bukan himpunan penyeleseian atau daerah yang salah Daerah x + y ≤ 400 adalah Uji (0,0) maka 0 + 0 ≤ 400 0 ≤ 400(benar) Maka daerah yang diarsir adalah daerah yang tidak terdapat (0,0) yaitu daerah di sebelah kanan garis. Daerah 3.000x + 2.000y ≤ 900.000 adalah Uji (0,0) maka 0 + 0 ≤ 900.000 0 ≤ 900.000 (benar) Maka daerah yang diarsir adalah daerah yang tidak terdapat (0,0) yaitu daerah di sebelah kanan garis. Titik potong : Subtitusikan titik – titik pojok : (0,400) ⇒ 200(0) + 300(400) =120.000 (100,300) ⇒ 200(100) + 300(300) = 110.000 (300,0) ⇒ 200(300) + 300(0) = 600.000 Jadi, agar memperoleh keuntungan maksimum, banyak permen B yang dijual 400 dan permen A 0.

Misal :

Permen A = x

Permen B = y

3.000x + 2.000y ≤ 900.000

x + y ≤ 400

F(x,y) = 200x + 300y

Daerah yang diarsir adalah daerah yang bukan himpunan penyeleseian atau daerah yang salah

Daerah x + y ≤ 400 adalah

Uji (0,0) maka

0 + 0 ≤ 400

0 ≤ 400 (benar)

Maka daerah yang diarsir adalah daerah yang tidak terdapat (0,0) yaitu daerah di sebelah kanan garis.

Daerah 3.000x + 2.000y ≤ 900.000 adalah

Uji (0,0) maka

0 + 0 ≤ 900.000

0 ≤ 900.000 (benar)

Maka daerah yang diarsir adalah daerah yang tidak terdapat (0,0) yaitu daerah di sebelah kanan garis.

Titik potong :

Subtitusikan titik – titik pojok :

(0,400) ⇒ 200(0) + 300(400) =120.000  

(100,300) ⇒ 200(100) + 300(300) = 110.000  

(300,0) ⇒ 200(300) + 300(0) = 600.000  

Jadi, agar memperoleh keuntungan maksimum, banyak permen B yang dijual 400 dan permen A 0.

Perdalam pemahamanmu bersama Master Teacher
di sesi Live Teaching, GRATIS!

1

Iklan

Pertanyaan serupa

Sebuah perusahaan properti memproduksi dua macam lemari pakaian yaitu tipe lux dan tipe sport dengan menggunakan 2 bahan dasar yang sama yaitu kayu jati dan cat pernis. Untuk memproduksi 1 unit tipe l...

5

4.5

Jawaban terverifikasi

RUANGGURU HQ

Jl. Dr. Saharjo No.161, Manggarai Selatan, Tebet, Kota Jakarta Selatan, Daerah Khusus Ibukota Jakarta 12860

Coba GRATIS Aplikasi Roboguru

Coba GRATIS Aplikasi Ruangguru

Download di Google PlayDownload di AppstoreDownload di App Gallery

Produk Ruangguru

Hubungi Kami

Ruangguru WhatsApp

+62 815-7441-0000

Email info@ruangguru.com

[email protected]

Contact 02130930000

02130930000

Ikuti Kami

©2026 Ruangguru. All Rights Reserved PT. Ruang Raya Indonesia