Iklan

Pertanyaan

Sebuah pabrik farmasi menyediakan dua jenis campuran A dan B. Bahan–bahan dasar yang terkandung dalam tiap kg campuran A dan campuran B diperlihatkan pada tabel di bawah ini: Dari campuran A dan B itu hendak dibuat campuran C. Campuran C ini sekurang-kurangnya mengandung bahan 1 sebanyak 4 kg dan bahan 2 sebanyak 2 kg. Harga tiap kg campuran A adalah Rp20.000,00 dan tiap kg campuran B adalah Rp10.000,00. Maka,biaya total untuk membuat campuran C jika diharapkan biayanya seminimum mungkin adalah....

Sebuah pabrik farmasi menyediakan dua jenis campuran A dan B. Bahan–bahan dasar yang terkandung dalam tiap kg campuran A dan campuran B diperlihatkan pada tabel di bawah ini:

Dari campuran A dan B itu hendak dibuat campuran C. Campuran C ini sekurang-kurangnya mengandung bahan 1 sebanyak 4 kg dan bahan 2  sebanyak 2 kg. Harga tiap kg campuran A adalah Rp20.000,00 dan tiap kg campuran B adalah Rp10.000,00. Maka, biaya total untuk membuat campuran C jika diharapkan biayanya seminimum mungkin
adalah....

  1. Rp80.000,00

  2. Rp100.000,00

  3. Rp200.000,00

  4. Rp250.000,00

  5. Rp300.000,00

Ikuti Tryout SNBT & Menangkan E-Wallet 100rb

Habis dalam

00

:

09

:

41

:

57

Klaim

Iklan

A. Nadhira

Master Teacher

Mahasiswa/Alumni Universitas Negeri Malang

Jawaban terverifikasi

Jawaban

nilai minimumnya adalah Rp80.000,00

nilai minimumnya adalah Rp80.000,00

Pembahasan

Misalkan x = banyak campuran A y = banyak campuran B Model pertidaksamaan yang terbentuk adalah : Maks f(x, y) = 20.000x + 10.000y Dengan menggambarkan pada bidang datar didapatkan bentuk: Untuk mencari titik potong dari kedua garis: Subtitusikan x = 2 ke persamaan garis pertama didapat Sehingga didapat titik pojoknya adalah (10, 0), (0, 10) dan (2, 4) Subtitusikan ke f(x, y) = 20.000x + 10.000y didapat nilainya masing – masing 200.000 , 100.000 dan 80.000 Sehingga nilai minimumnya adalah Rp80.000,00

Misalkan

x = banyak campuran A

y = banyak campuran B

Model pertidaksamaan yang terbentuk adalah :

Maks f(x, y) = 20.000x + 10.000y

0 comma 4 x plus 0 comma 8 y greater or equal than 4 left right double arrow 4 x plus 8 y greater or equal than 40 left right double arrow x plus 2 y greater or equal than 100 comma 6 x plus 0 comma 2 y greater or equal than 2 left right double arrow 6 x plus 2 y greater or equal than 20 left right double arrow 3 x plus y greater or equal than 10x greater or equal than 0 comma space y greater or equal than 0 

Dengan menggambarkan pada bidang datar didapatkan bentuk:

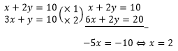
Untuk mencari titik potong dari kedua garis:

Subtitusikan  x = 2 ke persamaan garis pertama didapat

table attributes columnalign right center left columnspacing 0px end attributes row cell 2 plus 2 y end cell equals 10 row cell 2 y end cell equals 8 row y equals 4 end table

Sehingga didapat titik pojoknya adalah (10, 0), (0, 10) dan (2, 4)

Subtitusikan ke f(x, y) = 20.000x + 10.000y didapat nilainya masing – masing 200.000 , 100.000 dan 80.000

Sehingga nilai minimumnya adalah Rp80.000,00

Perdalam pemahamanmu bersama Master Teacher
di sesi Live Teaching, GRATIS!

1

Iklan

Pertanyaan serupa

Luas daerah parkir 1.760 m 2 . Luas rata-rata untuk mobil kecil 4 m 2 dan mobil besar 20 m 2 . Daya tampung maksimum hanya 200 kendaraan. Biaya parkir mobil kecil Rp1.000,00/jam dan mobil besar Rp2.00...

2

4.5

Jawaban terverifikasi

RUANGGURU HQ

Jl. Dr. Saharjo No.161, Manggarai Selatan, Tebet, Kota Jakarta Selatan, Daerah Khusus Ibukota Jakarta 12860

Coba GRATIS Aplikasi Roboguru

Coba GRATIS Aplikasi Ruangguru

Download di Google PlayDownload di AppstoreDownload di App Gallery

Produk Ruangguru

Hubungi Kami

Ruangguru WhatsApp

+62 815-7441-0000

Email info@ruangguru.com

[email protected]

Contact 02130930000

02130930000

Ikuti Kami

©2026 Ruangguru. All Rights Reserved PT. Ruang Raya Indonesia