Iklan

Pertanyaan

Polinomial berderajat tiga p ( x ) = x 3 + 2 x 2 + m x + n dibagi dengan x 2 − 4 x + 3 mempunyai sisa 3 x + 2 .Nilai n adalah....

Polinomial berderajat tiga  dibagi dengan  mempunyai sisa . Nilai  adalah ....

  1. begin mathsize 14px style negative 20 end style 

  2. begin mathsize 14px style negative 16 end style 

  3. size 14px 10 

  4. size 14px 16 

  5. size 14px 20 

Ikuti Tryout SNBT & Menangkan E-Wallet 100rb

Habis dalam

02

:

06

:

23

:

09

Klaim

Iklan

J. Joko

Master Teacher

Jawaban terverifikasi

Jawaban

jawaban yang tepat adalah E.

jawaban yang tepat adalah E.

Pembahasan

Pembahasan
lock

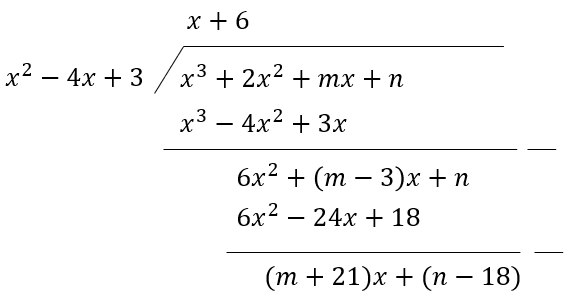
Perhatikan pembagian polinomial berderajat tiga oleh berikut. Diketahui pada soal bahwa sisa pembagiannya adalah . Oleh karena itu, diperoleh persamaan sebagai berikut. Selanjutnya mencari nilai menggunakan persamaan , yaitu sebagai berikut. Dengan demikian diperoleh nilai . Jadi, jawaban yang tepat adalah E.

Perhatikan pembagian polinomial berderajat tiga begin mathsize 14px style p left parenthesis x right parenthesis equals x cubed plus 2 x squared plus m x plus n end style oleh begin mathsize 14px style x squared minus 4 x plus 3 end style berikut.

Diketahui pada soal bahwa sisa pembagiannya adalah begin mathsize 14px style 3 x plus 2 end style.

Oleh karena itu, diperoleh persamaan sebagai berikut.

begin mathsize 14px style 3 x plus 2 equals left parenthesis m plus 21 right parenthesis x plus left parenthesis n minus 18 right parenthesis end style

Selanjutnya mencari nilai begin mathsize 14px style n end style menggunakan persamaan begin mathsize 14px style 3 x plus 2 equals left parenthesis m plus 21 right parenthesis x plus left parenthesis n minus 18 right parenthesis end style, yaitu sebagai berikut.

begin mathsize 14px style table attributes columnalign right center left columnspacing 0px end attributes row cell n minus 18 end cell equals 2 row n equals 20 end table end style

Dengan demikian diperoleh nilai begin mathsize 14px style n equals 20 end style.

Jadi, jawaban yang tepat adalah E.

Perdalam pemahamanmu bersama Master Teacher
di sesi Live Teaching, GRATIS!

1

MAY AMINATUL NATASYA PUTRI

Pembahasan lengkap banget Makasih ❤️

Ameila Balqis Adzra

Makasih ❤️

Sendy Fenita

Ini yang aku cari! Bantu banget Makasih ❤️

Johansen Raynold Simbolon

gsh Pembahasan terpotong

Iklan

Pertanyaan serupa

Sisa pembagian dari polinomial oleh adalah ....

2

5.0

Jawaban terverifikasi

RUANGGURU HQ

Jl. Dr. Saharjo No.161, Manggarai Selatan, Tebet, Kota Jakarta Selatan, Daerah Khusus Ibukota Jakarta 12860

Coba GRATIS Aplikasi Roboguru

Coba GRATIS Aplikasi Ruangguru

Download di Google PlayDownload di AppstoreDownload di App Gallery

Produk Ruangguru

Hubungi Kami

Ruangguru WhatsApp

+62 815-7441-0000

Email info@ruangguru.com

[email protected]

Contact 02130930000

02130930000

Ikuti Kami

©2026 Ruangguru. All Rights Reserved PT. Ruang Raya Indonesia