Iklan

Pertanyaan

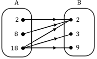
Perhatikan relasi dari himpunan A ke himpunan B berikut ini! Relasi yang dinyatakan dari diagram panah di atas adalah relasi ....

Perhatikan relasi dari himpunan A ke himpunan B berikut ini!

space   

Relasi yang dinyatakan dari diagram panah di atas adalah relasi ....

  1. faktor dari

  2. kelipatan dari

  3. kurang dari

  4. lebih dari

Ikuti Tryout SNBT & Menangkan E-Wallet 100rb

Habis dalam

00

:

20

:

45

:

05

Klaim

Iklan

M. Robo

Master Teacher

Jawaban terverifikasi

Jawaban

jawabannya adalah B.

jawabannya adalah B.

Pembahasan

Dari soal, diberikan gambar diagram panah sebagai berikut. Akan dicari relasi yang dinyatakan dari gambar tersebut. Perhatikan bahwa yang merupakan anggota himpunan berpasangan dengan yang merupakan anggota himpunan . Selanjutnya, perhatikan bahwa yang merupakan anggota himpunan berpasangan dengan yang merupakan anggota himpunan . Serta, perhatikan bahwa yang merupakan anggota himpunan berpasangan dengan dan yang merupakan anggota himpunan . Jika diperhatikan, adalah faktor dari bukanlahfaktor dari bukanfaktor dari , bukan faktor dari , dan juga bukan faktor dari Sehingga relasi ini bukanlah relasi "faktor dari". Opsi A tidak tepat. Kemudian, perhatikan bahwa adalah kelipatan dari adalah kelipatan dari adalah kelipatan dari , adalah kelipatan dari , dan juga adalah kelipatan dari Sehingga relasi yang dinyatakan dari diagram panah di atas adalah relasi “kelipatan dari” . Jadi, jawabannya adalah B.

Dari soal, diberikan gambar diagram panah sebagai berikut.

Akan dicari relasi yang dinyatakan dari gambar tersebut.

Perhatikan bahwa begin mathsize 14px style 2 end style yang merupakan anggota himpunan begin mathsize 14px style A end style berpasangan dengan begin mathsize 14px style 2 end style yang merupakan anggota himpunan begin mathsize 14px style B end style.

Selanjutnya, perhatikan bahwa begin mathsize 14px style 8 end style yang merupakan anggota himpunan begin mathsize 14px style A end style berpasangan dengan begin mathsize 14px style 2 end style yang merupakan anggota himpunan begin mathsize 14px style B end style.

Serta, perhatikan bahwa begin mathsize 14px style 18 end style yang merupakan anggota himpunan begin mathsize 14px style A end style berpasangan dengan begin mathsize 14px style 2 comma space 3 comma end style dan begin mathsize 14px style 9 end style yang merupakan anggota himpunan begin mathsize 14px style B end style.

Jika diperhatikan,

  • undefined adalah faktor dari undefined
  • undefined bukanlah faktor dari undefined
  • undefined bukan faktor dari undefinedundefined bukan faktor dari begin mathsize 14px style 3 end style, dan juga undefined bukan faktor dari undefined

Sehingga relasi ini bukanlah relasi "faktor dari". Opsi A tidak tepat.                                  

Kemudian, perhatikan bahwa

  • undefined adalah kelipatan dari undefined
  • undefined adalah kelipatan dari undefined
  • undefined adalah kelipatan dari undefinedundefined adalah kelipatan dari begin mathsize 14px style 3 end style, dan juga undefined adalah kelipatan dari undefined

Sehingga relasi yang dinyatakan dari diagram panah di atas adalah relasi “kelipatan dari”.

Jadi, jawabannya adalah B.

Perdalam pemahamanmu bersama Master Teacher
di sesi Live Teaching, GRATIS!

1

Iklan

Pertanyaan serupa

Diagram panah yang menyatakan relasi “kurang dari” untuk relasi dari himpunan P = { 2 , 4 , 6 } ke himpunan Q = { 2 , 3 , 7 } adalah ....

21

5.0

Jawaban terverifikasi

RUANGGURU HQ

Jl. Dr. Saharjo No.161, Manggarai Selatan, Tebet, Kota Jakarta Selatan, Daerah Khusus Ibukota Jakarta 12860

Coba GRATIS Aplikasi Roboguru

Coba GRATIS Aplikasi Ruangguru

Download di Google PlayDownload di AppstoreDownload di App Gallery

Produk Ruangguru

Hubungi Kami

Ruangguru WhatsApp

+62 815-7441-0000

Email info@ruangguru.com

[email protected]

Contact 02130930000

02130930000

Ikuti Kami

©2026 Ruangguru. All Rights Reserved PT. Ruang Raya Indonesia