Iklan

Pertanyaan

Perhatikan himpunan A dan himpunan B berikut ini! Berikut ini diagram panah yang menyatakan relasi “faktor dari” untuk relasi dari himpunan A ke himpunan B adalah ....

Perhatikan himpunan A dan himpunan B berikut ini!

  

Berikut ini diagram panah yang menyatakan relasi “faktor dari” untuk relasi dari himpunan  ke himpunan  adalah ....

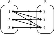
  1.  undefined 

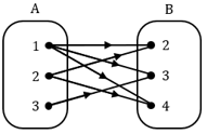
  2.  undefined 

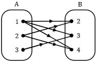
  3.  undefined 

  4.  undefined 

Ikuti Tryout SNBT & Menangkan E-Wallet 100rb

Habis dalam

02

:

19

:

46

:

33

Klaim

Iklan

M. Robo

Master Teacher

Jawaban terverifikasi

Jawaban

jawaban yang tepat adalah B.

jawaban yang tepat adalah B.

Pembahasan

Dari soal, diberikan gambar sebagai berikut. Akan dicari diagram panah yang menyatakan relasi “faktor dari” untuk relasi dari himpunan ke himpunan . Perhatikan bahwa adalah faktor dari , adalah faktor dari , dan adalah faktor dari . Sehingga yang merupakan anggota himpunan berpasangan dengan dan yang merupakan anggota himpunan . Selanjutnya, perhatikan bahwa adalah faktor dari dan adalah faktor dari . Sehingga yang merupakan anggota himpunan berpasangan dengan dan yang merupakan anggota himpunan . Selanjutnya, perhatikan bahwa adalah faktor dari . Sehingga yang merupakan anggota himpunan berpasangan dengan yang merupakan anggota himpunan . Maka diperoleh diagram panah sebagai berikut. Jadi, jawaban yang tepat adalah B.

Dari soal, diberikan gambar sebagai berikut.

Akan dicari diagram panah yang menyatakan relasi “faktor dari” untuk relasi dari himpunan undefined ke himpunan undefined.

Perhatikan bahwa undefined adalah faktor dari begin mathsize 14px style 2 end styleundefined adalah faktor dari undefined, dan undefined adalah faktor dari begin mathsize 14px style 4 end style.

Sehingga undefined yang merupakan anggota himpunan undefined berpasangan dengan begin mathsize 14px style 2 comma space 3 comma end style dan begin mathsize 14px style 4 end style yang merupakan anggota himpunan undefined.

Selanjutnya, perhatikan bahwa begin mathsize 14px style 2 end style adalah faktor dari begin mathsize 14px style 2 end style dan begin mathsize 14px style 2 end style adalah faktor dari begin mathsize 14px style 4 end style.

Sehingga begin mathsize 14px style 2 end style yang merupakan anggota himpunan undefined berpasangan dengan begin mathsize 14px style 2 end style dan begin mathsize 14px style 4 end style yang merupakan anggota himpunan undefined.

Selanjutnya, perhatikan bahwa undefined adalah faktor dari undefined.

Sehingga undefined yang merupakan anggota himpunan undefined berpasangan dengan undefined yang merupakan anggota himpunan undefined.

Maka diperoleh diagram panah sebagai berikut.

 undefined 

Jadi, jawaban yang tepat adalah B.

Perdalam pemahamanmu bersama Master Teacher
di sesi Live Teaching, GRATIS!

1

Iklan

Pertanyaan serupa

Perhatikan himpunan A dan himpunan B berikut ini! Diagram panah yang menyatakan relasi “kelipatan dari” untuk relasi dari himpunan A ke himpunan B adalah ....

2

5.0

Jawaban terverifikasi

RUANGGURU HQ

Jl. Dr. Saharjo No.161, Manggarai Selatan, Tebet, Kota Jakarta Selatan, Daerah Khusus Ibukota Jakarta 12860

Coba GRATIS Aplikasi Roboguru

Coba GRATIS Aplikasi Ruangguru

Download di Google PlayDownload di AppstoreDownload di App Gallery

Produk Ruangguru

Hubungi Kami

Ruangguru WhatsApp

+62 815-7441-0000

Email info@ruangguru.com

[email protected]

Contact 02130930000

02130930000

Ikuti Kami

©2026 Ruangguru. All Rights Reserved PT. Ruang Raya Indonesia