Iklan
Pertanyaan
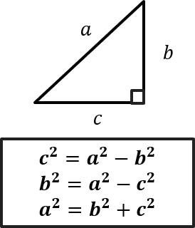
Perhatikan gambar berikut.

Rumus Pythagoras dari segitiga KLM adalah ....
Iklan
N. Puspita
Master Teacher
2
0.0 (0 rating)
Iklan
RUANGGURU HQ
Jl. Dr. Saharjo No.161, Manggarai Selatan, Tebet, Kota Jakarta Selatan, Daerah Khusus Ibukota Jakarta 12860
Produk Ruangguru
Bantuan & Panduan
Hubungi Kami
©2026 Ruangguru. All Rights Reserved PT. Ruang Raya Indonesia