Iklan
Pertanyaan
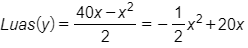
Lembaran seng yang lebarnya 40 m akan digunakan untuk membuat Talang Air dengan melipat lebarnya menjadi tiga bagian seperti pada gambar. Agar volume air yang tertampung maksimum, maka panjang x dan y adalah....

20 m dan 20 m
20 m dan 10 m
10 m dan 20 m
10 m dan 10 m
Iklan
S. Dwi
Master Teacher
4
4.0 (4 rating)
Aisyah Syifa Kusumastuti
Jawaban tidak sesuai Pembahasan terpotong Pembahasan tidak menjawab soal Pembahasan tidak lengkap
Iklan
RUANGGURU HQ
Jl. Dr. Saharjo No.161, Manggarai Selatan, Tebet, Kota Jakarta Selatan, Daerah Khusus Ibukota Jakarta 12860
Produk Ruangguru
Bantuan & Panduan
Hubungi Kami
©2025 Ruangguru. All Rights Reserved PT. Ruang Raya Indonesia