Iklan

Pertanyaan

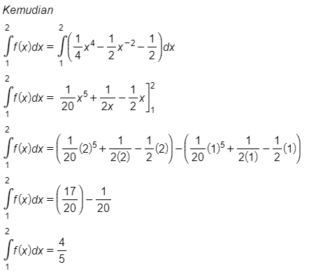
Jika dan , maka

Jika fraction numerator d f open parentheses x close parentheses over denominator d x end fraction equals x cubed plus 1 over x cubed dan f open parentheses 1 close parentheses equals negative 3 over 4, maka integral from 1 to 2 of f open parentheses x close parentheses equals horizontal ellipsis  

  1. 2 over 5  

  2. 3 over 5  

  3. 4 over 5  

  4. 5 over 5  

  5. 6 over 5  

Ikuti Tryout SNBT & Menangkan E-Wallet 100rb

Habis dalam

02

:

21

:

54

:

18

Klaim

Iklan

M. Robo

Master Teacher

Jawaban terverifikasi

Pembahasan

 

Perdalam pemahamanmu bersama Master Teacher
di sesi Live Teaching, GRATIS!

1

Iklan

Pertanyaan serupa

Hasil dari ∫ 1 + sin 3 x ​ d x = …

6

0.0

Jawaban terverifikasi

RUANGGURU HQ

Jl. Dr. Saharjo No.161, Manggarai Selatan, Tebet, Kota Jakarta Selatan, Daerah Khusus Ibukota Jakarta 12860

Coba GRATIS Aplikasi Roboguru

Coba GRATIS Aplikasi Ruangguru

Download di Google PlayDownload di AppstoreDownload di App Gallery

Produk Ruangguru

Hubungi Kami

Ruangguru WhatsApp

+62 815-7441-0000

Email info@ruangguru.com

[email protected]

Contact 02130930000

02130930000

Ikuti Kami

©2026 Ruangguru. All Rights Reserved PT. Ruang Raya Indonesia