Iklan

Pertanyaan

Himpunan penyelesaian dari persamaan 5 x − y + 2 z = 25 3 x + 2 y − 3 z = 16 2 x − y + z = 9 adalah ..

Himpunan penyelesaian dari persamaan

adalah ..

  1. (5 , 2 , 1)

  2. ( -5 , 2 , 1)

  3. (5 , -2 , 1)

  4. (5 , 2 , -1)

    • (-5 , -2 , -1)

Ikuti Tryout SNBT & Menangkan E-Wallet 100rb

Habis dalam

02

:

11

:

22

:

23

Klaim

Iklan

A. Acfreelance

Master Teacher

Jawaban terverifikasi

Pembahasan

Eliminasi variabel y pada persamaan (*) dan (***) : Misalkan nilai z : Eliminasi variabel y pada persamaan (**) dan (***) : Substitusi nilai z : Substitusi nilai x yang telah diperoleh : Substitusi nilai x dan z yang telah diperoleh : Maka himpunan penyelesaiannya adalah (5 , 2 , 1).

5 x minus y plus 2 z equals 25 space... space left parenthesis asterisk times right parenthesis space  space 3 x plus 2 y minus 3 z equals 16 space... space left parenthesis asterisk times asterisk times right parenthesis  space 2 x minus y plus z equals 9 space... space left parenthesis asterisk times asterisk times asterisk times right parenthesis

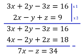
  • Eliminasi variabel y pada persamaan (*) dan (***) :

  • Misalkan nilai z :

3 x plus z equals 16 space  z equals 16 minus 3 x

  • Eliminasi variabel y pada persamaan (**) dan (***) :

  • Substitusi nilai z :

7 x minus left parenthesis 16 minus 3 x right parenthesis equals 34  space 7 x plus 3 x equals 34 plus 16  space 10 x equals 50 space  x equals 5

  • Substitusi nilai x yang telah diperoleh :

z equals 16 minus 3 x equals 16 minus 3 left parenthesis 5 right parenthesis equals 16 minus 15 equals 1

  • Substitusi nilai x dan z yang telah diperoleh :

2 x minus y plus z equals 9 space  2 left parenthesis 5 right parenthesis minus y plus left parenthesis 1 right parenthesis equals 9 space  11 minus 9 equals y space  y equals 2

Maka himpunan penyelesaiannya adalah (5 , 2 , 1).

Perdalam pemahamanmu bersama Master Teacher
di sesi Live Teaching, GRATIS!

1

Iklan

Pertanyaan serupa

Ana membeli 1 gelas Aqua, 2 permen dan 1 bungkus coklat seharga Rp7.000,00 . Budi membeli 2 gelas Aqua, 2 permen, dan 1 bungkus coklat seharga Rp8.000,00 . Citra membeli 1 gelas Aqua, 2 permen d...

1

5.0

Jawaban terverifikasi

RUANGGURU HQ

Jl. Dr. Saharjo No.161, Manggarai Selatan, Tebet, Kota Jakarta Selatan, Daerah Khusus Ibukota Jakarta 12860

Coba GRATIS Aplikasi Roboguru

Coba GRATIS Aplikasi Ruangguru

Download di Google PlayDownload di AppstoreDownload di App Gallery

Produk Ruangguru

Hubungi Kami

Ruangguru WhatsApp

+62 815-7441-0000

Email info@ruangguru.com

[email protected]

Contact 02130930000

02130930000

Ikuti Kami

©2025 Ruangguru. All Rights Reserved PT. Ruang Raya Indonesia