Iklan

Pertanyaan

Garis P memiliki persamaan 2 x + y − 6 = 0. Gradien garis Q agar tegak lurus dengan P adalah ....

Garis P memiliki persamaan Gradien garis Q agar tegak lurus dengan P adalah ....

  1. 1 half

  2. 1 third

  3. negative 1 third

  4. negative 1 half

Ikuti Tryout SNBT & Menangkan E-Wallet 100rb

Habis dalam

01

:

16

:

54

:

55

Klaim

Iklan

P. Anggrayni

Master Teacher

Jawaban terverifikasi

Pembahasan

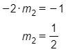
Garis dikatakan saling tegak lurus jika perkalian kedua gradiennya menghasilkan nilai -1, dimana Persamaan garis pertama 2x + y - 6 = 0 y = -2x + 6 Didapat gradien Maka agar garis Q saling tegak lurus dengan garis P nilai gradiennya adalah

Garis dikatakan saling tegak lurus jika perkalian kedua gradiennya menghasilkan nilai -1, dimana m subscript 1 times m subscript 2 equals negative 1.

Persamaan garis pertama

2x + y - 6 = 0

y = -2x + 6

Didapat gradien m subscript 1 equals negative 2 space 

Maka agar garis Q saling tegak lurus dengan garis P nilai gradiennya adalah

 

Perdalam pemahamanmu bersama Master Teacher
di sesi Live Teaching, GRATIS!

1

Iklan

Pertanyaan serupa

Persamaan garis yang melalui titik P (4, 6) dan tegak lurus dengan persamaan garis 2x - 4y + 3 = 0 adalah ....

2

5.0

Jawaban terverifikasi

RUANGGURU HQ

Jl. Dr. Saharjo No.161, Manggarai Selatan, Tebet, Kota Jakarta Selatan, Daerah Khusus Ibukota Jakarta 12860

Coba GRATIS Aplikasi Roboguru

Coba GRATIS Aplikasi Ruangguru

Download di Google PlayDownload di AppstoreDownload di App Gallery

Produk Ruangguru

Hubungi Kami

Ruangguru WhatsApp

+62 815-7441-0000

Email info@ruangguru.com

[email protected]

Contact 02130930000

02130930000

Ikuti Kami

©2026 Ruangguru. All Rights Reserved PT. Ruang Raya Indonesia