Iklan

Pertanyaan

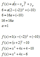
Diketahui titik balik suatu kurva fungsi kuadrat adalah (-2, -10). Jika kurva tersebut melalui titik (2, 6), maka persamaan fungsi kuadrat tersebut adalah ….

Diketahui titik balik suatu kurva fungsi kuadrat adalah (-2, -10). Jika kurva tersebut melalui titik (2, 6), maka persamaan fungsi kuadrat tersebut adalah ….

  1. f left parenthesis x right parenthesis equals x squared plus 4 x plus 6

  2. f left parenthesis x right parenthesis equals x squared minus 4 x plus 3

  3. f left parenthesis x right parenthesis equals x squared minus 4 x plus 6

  4. f left parenthesis x right parenthesis equals x squared plus 4 x minus 3

  5. f left parenthesis x right parenthesis equals x squared plus 4 x minus 6

Ikuti Tryout SNBT & Menangkan E-Wallet 100rb

Habis dalam

00

:

20

:

29

:

40

Klaim

Iklan

A. Acfreelance

Master Teacher

Jawaban terverifikasi

Pembahasan

Titik balik merupakan titik puncak, maka , sehingga persamaan fungsi kuadratnya:

Titik balik merupakan titik puncak, maka open parentheses x subscript y comma y subscript y close parentheses equals open parentheses negative 2 comma negative 10 close parentheses , sehingga persamaan fungsi kuadratnya:

Perdalam pemahamanmu bersama Master Teacher
di sesi Live Teaching, GRATIS!

1

yasmine

Pembahasan tidak menjawab soal Pembahasan tidak lengkap

Anisa Sri Wulan Sari

Jawaban tidak sesuai

Iklan

Pertanyaan serupa

Persamaan grafik parabola di bawah ini adalah ....

1

5.0

Jawaban terverifikasi

RUANGGURU HQ

Jl. Dr. Saharjo No.161, Manggarai Selatan, Tebet, Kota Jakarta Selatan, Daerah Khusus Ibukota Jakarta 12860

Coba GRATIS Aplikasi Roboguru

Coba GRATIS Aplikasi Ruangguru

Download di Google PlayDownload di AppstoreDownload di App Gallery

Produk Ruangguru

Hubungi Kami

Ruangguru WhatsApp

+62 815-7441-0000

Email info@ruangguru.com

[email protected]

Contact 02130930000

02130930000

Ikuti Kami

©2026 Ruangguru. All Rights Reserved PT. Ruang Raya Indonesia