Iklan

Pertanyaan

Apakah tembaga dapat larut dalam larutan asam klorida? (Apakah reaksi Cu ( s ) + 2 H + ( a q ) → Cu 2 + ( a q ) + H 2 ​ ( g ) dapat berlangsung spontan?)

Apakah tembaga dapat larut dalam larutan asam klorida?
 

(Apakah reaksi  dapat berlangsung spontan?)

Ikuti Tryout SNBT & Menangkan E-Wallet 100rb

Habis dalam

00

:

22

:

13

:

23

Klaim

Iklan

N. Puspita

Master Teacher

Jawaban terverifikasi

Jawaban

karena potensial reaksi bertanda negatif, reaksi tersebut tidak dapat berlangsung spontan.

karena potensial reaksi bertanda negatif, reaksi tersebut tidak dapat berlangsung spontan.

Pembahasan

Pembahasan
lock

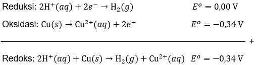
Potensial redoks dapat digunakan untuk meramalkan spontan tidaknya suatu reaksi redoks. Suatu reaksi redoks dapat berlangsung spontan apabila potensial reaksi redoksnya bertanda positif.Pada reaksi yang ditanyakan, ion hidrogen mengalami reduksi, sedangkan tembaga mengalami oksidasi. Cara lain kita bisa menggunakan deret volta, dalam deret volta logam sebelah kiri dapat mendesak logam sebelah kanannya dari senyawa. Deret Volta : Li, K, Ba, Sr, Ca, Na, Mg, Al, Mn, Zn, Cr, Fe, Ni, Co, Sn, Pb, H, Cu, Hg, Ag, Pt, Au Logam Cu disebelah kanan Hsehingga Cu tidak bisa mendesak H, sehingga tidak terjadi suatu reaksi. Jadi, karena potensial reaksi bertanda negatif, reaksi tersebut tidak dapat berlangsung spontan.

Potensial redoks dapat digunakan untuk meramalkan spontan tidaknya suatu reaksi redoks. Suatu reaksi redoks dapat berlangsung spontan apabila potensial reaksi redoksnya bertanda positif. Pada reaksi yang ditanyakan, ion hidrogen mengalami reduksi, sedangkan tembaga mengalami oksidasi.
 

Cara lain kita bisa menggunakan deret volta, dalam deret volta logam sebelah kiri dapat mendesak logam sebelah kanannya dari senyawa.

Deret Volta :

Li, K, Ba, Sr, Ca, Na, Mg, Al, Mn, Zn, Cr, Fe, Ni, Co, Sn, Pb, H, Cu, Hg, Ag, Pt, Au

Logam Cu disebelah kanan H sehingga Cu tidak bisa mendesak H, sehingga tidak terjadi suatu reaksi.

Jadi, karena potensial reaksi bertanda negatif, reaksi tersebut tidak dapat berlangsung spontan.

Perdalam pemahamanmu bersama Master Teacher
di sesi Live Teaching, GRATIS!

11

Intan Dyah Rahmawati

Ini yang aku cari!

Iklan

Pertanyaan serupa

Diketahui potensial elektrode standar berikut: Fe 2 + ( a q ) + 2 e − → Fe ( s ) E ∘ = − 0 , 44 V Zn 2 + ( a q ) + 2 e − → Zn ( s ) E ∘ = − 1 , 85 V Ag + ( a q ) + e − → Ag ( s ) E ∘ = + 0 , 80 V...

1

5.0

Jawaban terverifikasi

RUANGGURU HQ

Jl. Dr. Saharjo No.161, Manggarai Selatan, Tebet, Kota Jakarta Selatan, Daerah Khusus Ibukota Jakarta 12860

Coba GRATIS Aplikasi Roboguru

Coba GRATIS Aplikasi Ruangguru

Download di Google PlayDownload di AppstoreDownload di App Gallery

Produk Ruangguru

Hubungi Kami

Ruangguru WhatsApp

+62 815-7441-0000

Email info@ruangguru.com

[email protected]

Contact 02130930000

02130930000

Ikuti Kami

©2026 Ruangguru. All Rights Reserved PT. Ruang Raya Indonesia