Iklan

Pertanyaan

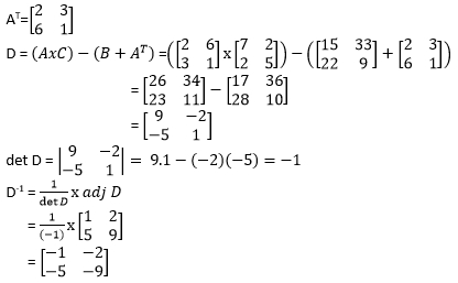
  1. open square brackets table row cell negative 1 end cell cell negative 2 end cell row cell negative 5 end cell cell negative 9 end cell end table close square brackets

  2. open square brackets table row 1 2 row 5 9 end table close square brackets

  3. open square brackets table row 9 cell negative 2 end cell row cell negative 5 end cell 1 end table close square brackets

  4. open square brackets table row 9 2 row 5 1 end table close square brackets

  5. open square brackets table row cell negative 9 end cell cell negative 2 end cell row cell negative 5 end cell cell negative 1 end cell end table close square brackets

Ikuti Tryout SNBT & Menangkan E-Wallet 100rb

Habis dalam

02

:

17

:

57

:

53

Klaim

Iklan

Y. Laksmi

Master Teacher

Mahasiswa/Alumni Universitas Negeri Semarang

Jawaban terverifikasi

Pembahasan

Perdalam pemahamanmu bersama Master Teacher
di sesi Live Teaching, GRATIS!

1

Iklan

Pertanyaan serupa

Jika matriks K = ( − 1 0 ​ 6 − 2 ​ 3 1 ​ ) , L = ⎝ ⎛ ​ 0 − 4 3 ​ 1 − 2 3 ​ ⎠ ⎞ ​ , M = ( 9 2 ​ − 1 6 ​ ) dan N = K L − M T matriks N adalah ....

1

5.0

Jawaban terverifikasi

RUANGGURU HQ

Jl. Dr. Saharjo No.161, Manggarai Selatan, Tebet, Kota Jakarta Selatan, Daerah Khusus Ibukota Jakarta 12860

Coba GRATIS Aplikasi Roboguru

Coba GRATIS Aplikasi Ruangguru

Download di Google PlayDownload di AppstoreDownload di App Gallery

Produk Ruangguru

Hubungi Kami

Ruangguru WhatsApp

+62 815-7441-0000

Email info@ruangguru.com

[email protected]

Contact 02130930000

02130930000

Ikuti Kami

©2026 Ruangguru. All Rights Reserved PT. Ruang Raya Indonesia