Abu Z
23 Februari 2026 01:16
Iklan
Abu Z
23 Februari 2026 01:16
Pertanyaan
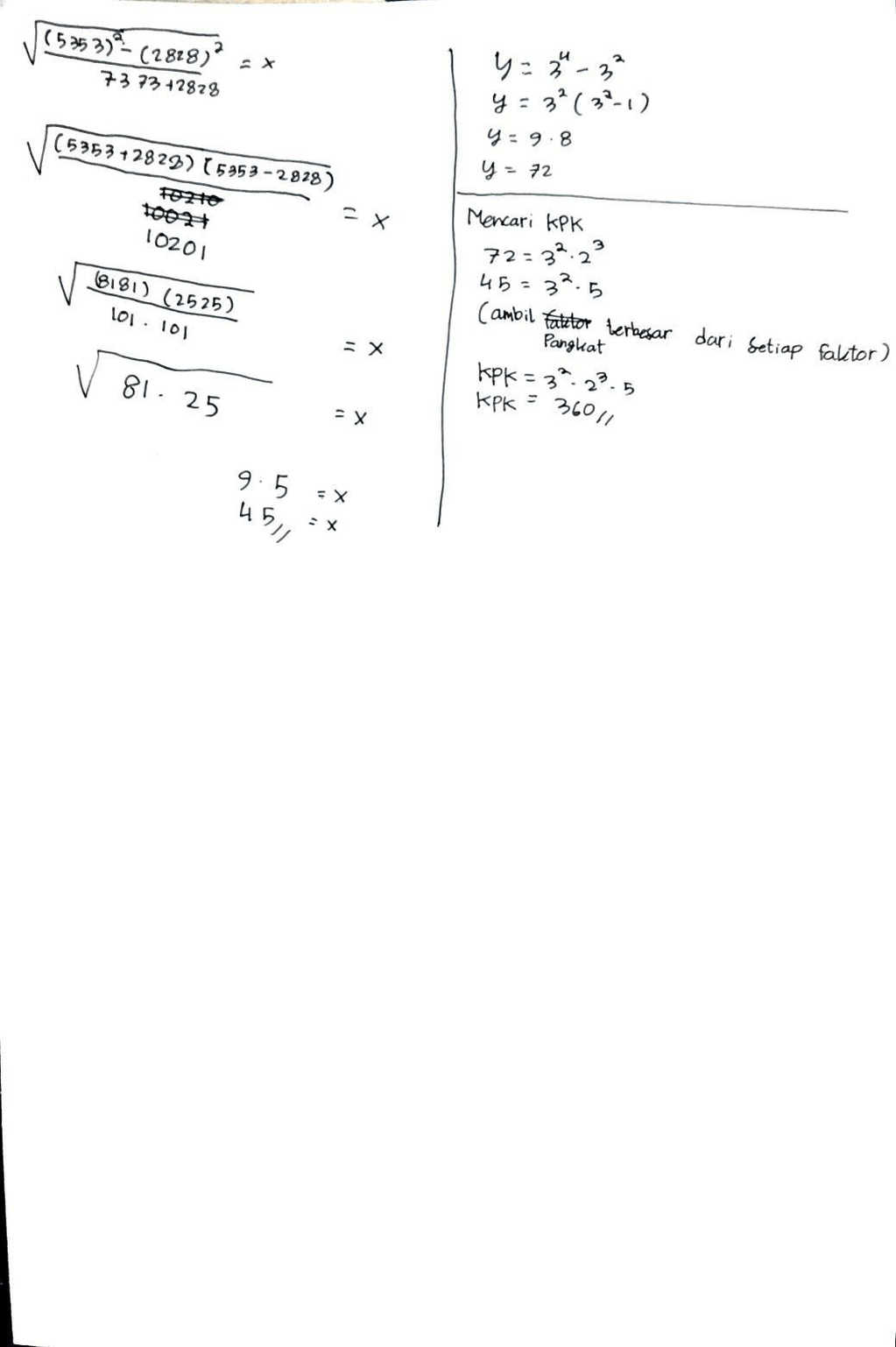
Tolongg, gimana ini

17
2
Iklan
Yusri H
23 Februari 2026 06:42
Nilai y dihitung secara eksponen menjadi 72.
Dengan asumsi x adalah bilangan bulat telor asin yang merupakan faktor dari 72 (berdasarkan penyederhanaan akar pada soal), maka KPK dari kedua bilangan tersebut adalah 72.

· 0.0 (0)
Iklan
Alfa R
17 Maret 2026 08:18
Semoga membantu KPK=360

· 0.0 (0)
Tanya ke AiRIS
Yuk, cobain chat dan belajar bareng AiRIS, teman pintarmu!
Roboguru Plus
Dapatkan pembahasan soal ga pake lama, langsung dari Tutor!


Perdalam pemahamanmu bersama Master Teacher
di sesi Live Teaching, GRATIS!