Yunik A
17 Desember 2025 07:31
Iklan
Yunik A
17 Desember 2025 07:31
9
2
Iklan
Aurum N
19 Desember 2025 03:50
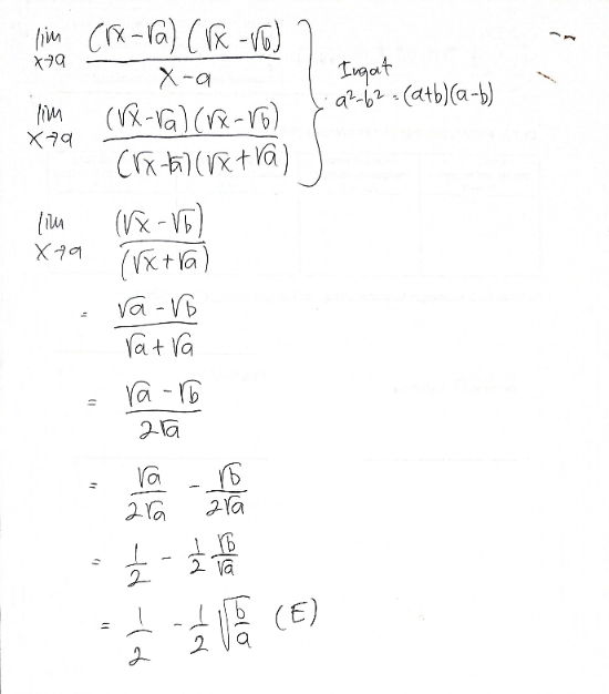
Jawabannya E, intinya kita perlu memecah penyebut pecahan tersebut

ยท 4.5 (2)
Muhammad F
25 Desember 2025 06:46
ini udah spesifik banget sih ๐ค
Iklan
Muhammad F
25 Desember 2025 06:49
Sudah dijawab, di sini karena setuju ๐
ยท 0.0 (0)
Tanya ke AiRIS
Yuk, cobain chat dan belajar bareng AiRIS, teman pintarmu!
Roboguru Plus
Dapatkan pembahasan soal ga pake lama, langsung dari Tutor!


Perdalam pemahamanmu bersama Master Teacher
di sesi Live Teaching, GRATIS!