Farah A
21 November 2025 04:27
Iklan
Farah A
21 November 2025 04:27
Pertanyaan
tolong jawab

11
1
Iklan
Nayla W

Community
23 November 2025 01:02
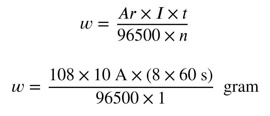
ini yaa jawabannya, semoga membantu


· 0.0 (0)
Iklan
Tanya ke AiRIS
Yuk, cobain chat dan belajar bareng AiRIS, teman pintarmu!

LATIHAN SOAL GRATIS!
Drill Soal
Latihan soal sesuai topik yang kamu mau untuk persiapan ujian


Perdalam pemahamanmu bersama Master Teacher
di sesi Live Teaching, GRATIS!