Sharon S
29 Juli 2025 10:40
Iklan
Sharon S
29 Juli 2025 10:40
Pertanyaan
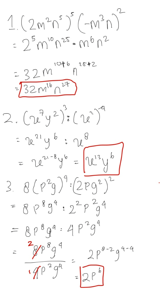
Tolong jawab dengan cara

11
2
Iklan
Zahra N
29 Juli 2025 13:44


· 5.0 (1)
Iklan
Nazmia N
11 Agustus 2025 13:59
kuu tidak tahu, pelajaran kelas berapa itu?
· 0.0 (0)
Tanya ke AiRIS
Yuk, cobain chat dan belajar bareng AiRIS, teman pintarmu!

LATIHAN SOAL GRATIS!
Drill Soal
Latihan soal sesuai topik yang kamu mau untuk persiapan ujian


Perdalam pemahamanmu bersama Master Teacher
di sesi Live Teaching, GRATIS!