Lita A

09 Februari 2025 12:12
Iklan
Lita A

09 Februari 2025 12:12
Pertanyaan
tolong bantu kak

1
1
Iklan
J. Siregar
10 Februari 2025 03:34
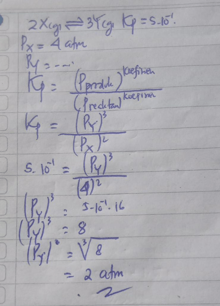
Jawaban yang benar adalah tekanan parsial gas Y (PY) sebesar 2 atm.
**Untuk poin lainnya bisa kamu posting kembali yaa

· 0.0 (0)
Iklan
Tanya ke AiRIS
Yuk, cobain chat dan belajar bareng AiRIS, teman pintarmu!

LATIHAN SOAL GRATIS!
Drill Soal
Latihan soal sesuai topik yang kamu mau untuk persiapan ujian


Perdalam pemahamanmu bersama Master Teacher
di sesi Live Teaching, GRATIS!