Salsabila R
12 Juli 2024 06:59
Iklan
Salsabila R
12 Juli 2024 06:59
Pertanyaan
thankyouuu in advance :]]

1
2
Iklan
Deni R
12 Juli 2024 08:27
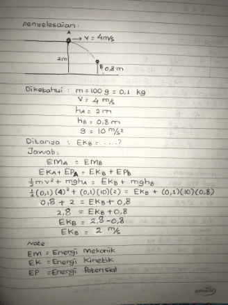
Jawaban pada gambar

· 0.0 (0)
Iklan
Andrew L
12 Juli 2024 08:38
2 m/s kak, semoga bisa terus belajar
· 0.0 (0)
Tanya ke AiRIS
Yuk, cobain chat dan belajar bareng AiRIS, teman pintarmu!

LATIHAN SOAL GRATIS!
Drill Soal
Latihan soal sesuai topik yang kamu mau untuk persiapan ujian


Perdalam pemahamanmu bersama Master Teacher
di sesi Live Teaching, GRATIS!