Mahtur L
24 Mei 2025 07:58
Iklan
Mahtur L
24 Mei 2025 07:58
Pertanyaan
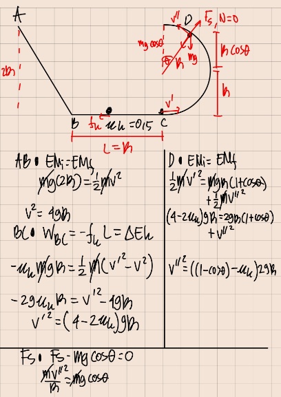
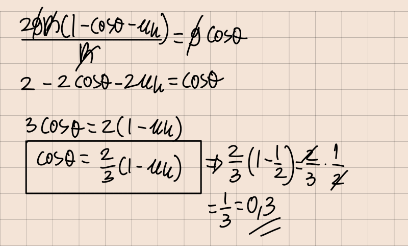
Suatu partikel bergerak menuruni bidang miring licin dari ketinggian 2๐ kemudian melewati suatu permukaan kasar datar dengan koefisien gesek kinetik 0,5 sepanjang ๐ฟ. Di ujung permukaan kasar terdapat lintasan setengah lingkaran licin berjejari ๐ . Jika panjang permukaan kasar sama dengan jejari lingkaran, ๐ฟ = ๐ , dan apabila partikel lepas kontak pada sudut ๐ dengan lintasan lingkaran, maka nilai cos ๐ adalah ....

13
1
Iklan
Efraim S
24 Mei 2025 10:17
Jawabannya 0,3 ya. Caranya tertera pada gambar (Bacanya dari kiri ke kanan, baru lanjut ke bawah).


ยท 5.0 (2)
Iklan
Tanya ke AiRIS
Yuk, cobain chat dan belajar bareng AiRIS, teman pintarmu!

LATIHAN SOAL GRATIS!
Drill Soal
Latihan soal sesuai topik yang kamu mau untuk persiapan ujian


Perdalam pemahamanmu bersama Master Teacher
di sesi Live Teaching, GRATIS!