Khansa A
03 Februari 2026 22:55
Iklan
Khansa A
03 Februari 2026 22:55
Pertanyaan
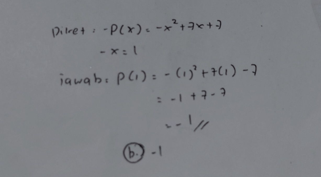
Sisa pembagian dari (-x²+7x-7) oleh (x-1) adalah

13
2
Iklan
Zikra Z
05 Februari 2026 07:32
Semoga membantu ya...Maaf kalo salah

· 5.0 (1)
Iklan
Najwa R
05 Februari 2026 11:39
bantu jawab

· 0.0 (0)
Tanya ke AiRIS
Yuk, cobain chat dan belajar bareng AiRIS, teman pintarmu!

LATIHAN SOAL GRATIS!
Drill Soal
Latihan soal sesuai topik yang kamu mau untuk persiapan ujian


Perdalam pemahamanmu bersama Master Teacher
di sesi Live Teaching, GRATIS!