Morioxzan J
Ditanya sehari yang lalu
Iklan
Morioxzan J
Ditanya sehari yang lalu
Pertanyaan
Silahkan jawab

0
2
Iklan
Medina F
Dijawab sehari yang lalu
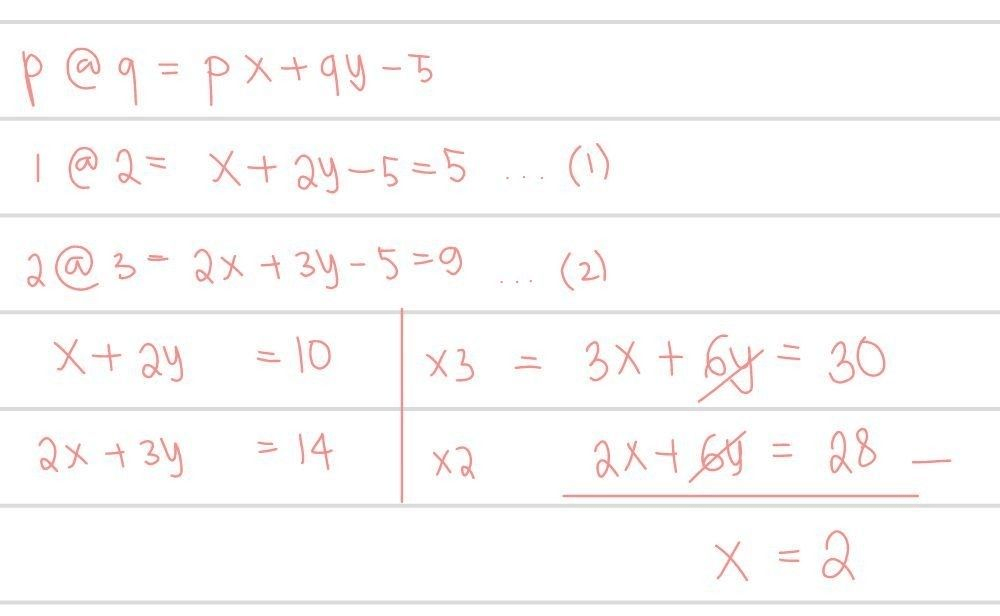
x = 2

· 0.0 (0)
Iklan
Fahira S
Dijawab 12 jam yang lalu
x = -2

· 0.0 (0)
Tanya ke AiRIS
Yuk, cobain chat dan belajar bareng AiRIS, teman pintarmu!
Roboguru Plus
Dapatkan pembahasan soal ga pake lama, langsung dari Tutor!


Perdalam pemahamanmu bersama Master Teacher
di sesi Live Teaching, GRATIS!