Slyta T
29 Agustus 2024 06:43
Iklan
Slyta T
29 Agustus 2024 06:43
Pertanyaan
Sederhanakanlah!

2
2
Iklan
Yeziwin Y
29 Agustus 2024 10:16
semoga membantu

· 4.0 (2)
Iklan
Ramadhana R

Community
29 Agustus 2024 10:54
Jawabannya
6+2√5
Pembahasan
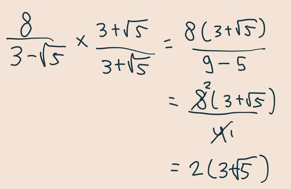
8 / 3 -√5 = 8/3-√5 . 3+√5/ 3+√5
= 8(3+√5)/ 9 - 5
= 24 + 8√5 / 4
= 6+2√5
· 0.0 (0)
Tanya ke AiRIS
Yuk, cobain chat dan belajar bareng AiRIS, teman pintarmu!

LATIHAN SOAL GRATIS!
Drill Soal
Latihan soal sesuai topik yang kamu mau untuk persiapan ujian


Perdalam pemahamanmu bersama Master Teacher
di sesi Live Teaching, GRATIS!