Mahtur L
09 Juni 2025 03:20
Iklan
Mahtur L
09 Juni 2025 03:20
Pertanyaan
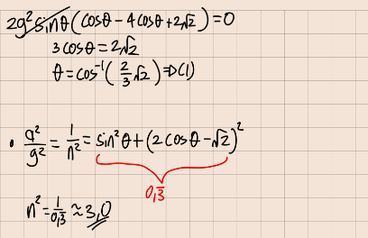
Sebuah bandul terdiri dari tali tak bermassa yang di ujungnya diberi massa, mulai-mula memiliki sudut sebesar 45° terhadap vertikal. Percepatan gravitasi sebesar g ke bawah. Setelah dilepas tanpa kecepatan awal, nilai minimum dari percepatan total massa tersebut adalah a dengan g/a = n. Nilai n2 sama dengan ...
9
1
Iklan
Efraim S
09 Juni 2025 05:41
Jawbannya 3,0 ya. Caranya tertera pada gambar.


· 5.0 (2)
Iklan
Tanya ke AiRIS
Yuk, cobain chat dan belajar bareng AiRIS, teman pintarmu!

LATIHAN SOAL GRATIS!
Drill Soal
Latihan soal sesuai topik yang kamu mau untuk persiapan ujian


Perdalam pemahamanmu bersama Master Teacher
di sesi Live Teaching, GRATIS!