Siti H

30 Juli 2025 15:12
Iklan
Siti H

30 Juli 2025 15:12
Pertanyaan
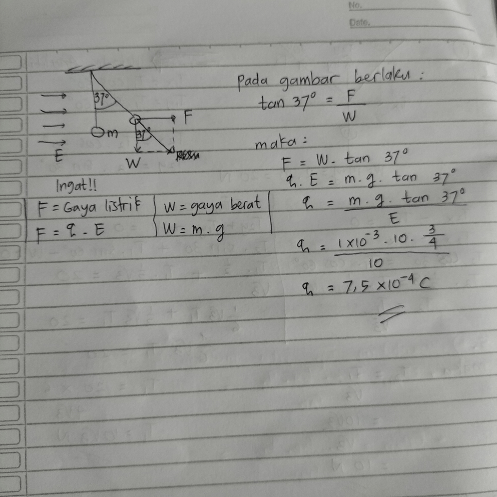
Sebuah bola bermuatan dengan massa 1 gr digantungkan pada tali dalam pengaruh medan listrik 10* N/C arah mendatar. Jika bola dalam keadaan setimbang sehingga membentuk sudut 37° (cos 379 = 0,6) dan g=10 m/s² maka besarnya muatan pada bola tersebut adalah....
7
3
Iklan
T. Asistant
31 Juli 2025 04:06

· 5.0 (1)
Iklan
Patrick H
30 Juli 2025 22:09
*jawaban terlampir.


· 5.0 (1)
Pondok O
27 Oktober 2025 07:11
Patrick H
Ellavya E
28 Agustus 2025 06:13
sorry ya gatau🙏🏻maaf
· 4.0 (1)
Pondok O
24 Oktober 2025 08:33
Ellavya E
Tanya ke AiRIS
Yuk, cobain chat dan belajar bareng AiRIS, teman pintarmu!

LATIHAN SOAL GRATIS!
Drill Soal
Latihan soal sesuai topik yang kamu mau untuk persiapan ujian


Perdalam pemahamanmu bersama Master Teacher
di sesi Live Teaching, GRATIS!